
导读:
聚丙烯酰胺基凝胶微球的抗压强度低,热稳定性相对较差,这使得它们容易受到机械应力损伤,在高温环境中容易降解或溶解,从而限制了其在此类条件下的应用。近期,兰州理工大学张定军教授团队通过引入咪唑基离子液体交联剂,成功制备了一种具有显著增强压缩强度和热稳定性的聚丙烯酰胺基凝胶微球,为解决传统聚丙烯酰胺基凝胶微球在高温环境下的应用瓶颈提供了新思路。相关研究以“Preparation and properties of functional ionic liquid cross-linked polyacrylamide-based gel microspheres with compressive strength and stability”为题目,发表在期刊《Polymer Engineering and Science》上。
本文要点:
1、本研究通过在丙烯酰胺-丙烯酸体系中引入咪唑基离子液体,制备了具有增强压缩强度和稳定性的聚丙烯酰胺基凝胶微球。
2、首先,采用一步法合成了双端乙烯基咪唑溴化物离子液体。随后,利用微流体技术和滴定凝胶法,以丙烯酰胺(AM)、丙烯酸(AA)和甲基丙烯酸β-羟乙酯为原料,过硫酸钾为引发剂,设计并合成了聚合物凝胶微球(P(AA-AM-ILs))。
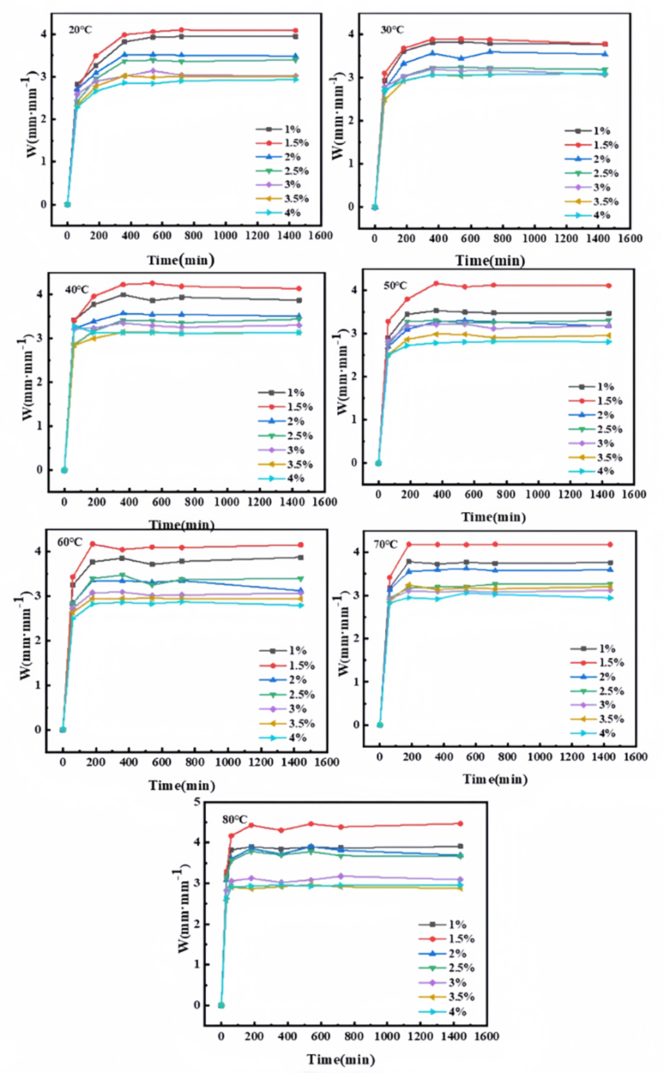
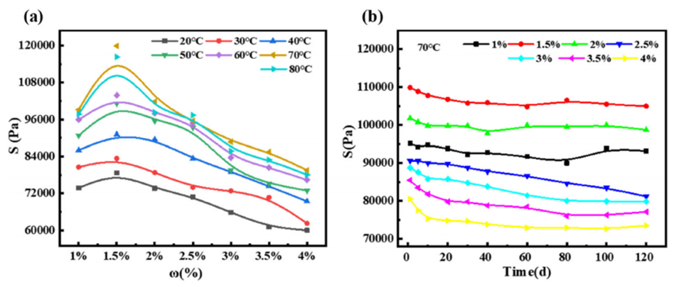
3、研究发现,当离子液体交联剂含量为15%时,凝胶微球的吸水率在不同温度下均超过3.5 mm mm-1,且在70℃下浸泡120天后,压缩强度仍保持在110 kPa,表现出优异的耐老化性能。
4、此外,凝胶微球在800℃时仍未完全分解,显示出较高的热稳定性。
离子液体交联剂在聚丙烯酰胺基凝胶微球中的作用机制是什么?
离子液体交联剂在聚丙烯酰胺基凝胶微球中起到了多方面的作用。首先,离子液体中的咪唑基团和长链烷基结构能够与聚丙烯酰胺基体形成共价键、离子键以及弱相互作用(如静电作用和氢键),从而构建起三维网络结构,显著提高凝胶微球的交联密度和网络均匀性,使其机械性能得到增强。
其次,离子液体的动态键合特性赋予凝胶微球良好的动态恢复和自修复能力,当受到外力作用时,离子液体中的动态键可以断裂和重组,从而缓解应力,防止材料的永久性损伤。
此外,离子液体的引入还能优化凝胶微球的吸水性能,其微相分离和疏水性结构能够调节微球内部的孔隙结构,减少内部缺陷,使凝胶微球在吸水膨胀时保持较好的结构完整性,从而在不同温度和环境下维持稳定的性能。
微流控技术在合成聚丙烯酰胺基凝胶微球中发挥了关键作用,具体体现在以下几个方面:
1.精确控制微球尺寸和形态
微流控技术能够精确控制凝胶微球的尺寸和形态,使其具有均匀的球形结构,尺寸分布集中在2 - 3 mm,表面光滑无缺陷。这种精确控制对于微球在实际应用中的性能至关重要,例如在石油开发中,均匀的微球尺寸可以更好地适应油藏孔隙结构,提高调剖和堵水效果。
2.实现均匀的交联反应
微流控技术确保反应物在微通道中均匀混合和反应,实现凝胶微球内部交联反应的均匀性,避免局部交联不足或过度交联,从而优化微球的整体性能。
3.提高反应效率和重复性
微流控技术具有较高的比表面积和传质效率,显著提高反应速度和效率。同时,其高度自动化操作减少了人为干扰,提高了实验的重复性和可靠性。
4.调控内部结构
通过调节反应条件(如流速、温度、反应时间等),微流控技术可以优化凝胶微球的内部网络结构,进一步提高其机械性能和热稳定性。
5.实现多功能化设计
微流控技术可通过引入不同功能单体或添加剂,实现凝胶微球的多功能化设计,如赋予其动态恢复和自修复能力,拓展其应用范围。

图1.离子液体交联剂的合成路线。

图2.P(AA-AM-ILs)凝胶微球的合成流程图。

图3.(A)离子液体交联剂和P(AA-AM-ILs)凝胶微球在4000-500 cm-1范围内的FTIR光谱。(B)离子液体交联剂的热重分布。

图4.离子液体交联剂的核磁共振氢谱。

图5.(A)P(AA-AM-ILs)凝胶微球的数码照片。(B)P(AA-AM-ILs)凝胶微球的SEM图像。

图6.(A)P(AA-AM-ILs)凝胶微球的热重分布。(B)离子液体交联剂含量与P(AA-AM-ILs)凝胶颗粒密度的关系图。

图7.离子液体交联剂的量与不同温度下P(AA-AM-ILs)凝胶微球吸水倍数的关系图。

图8.(A)离子液体交联剂的量与不同温度下P(AA-AM-ILs)凝胶微球强度之间的关系。(B)P(AA-AM-ILs)凝胶微球的抗老化性随时间的变化。
论文链接:https://doi.org/10.1002/pen.27172
Previous: 宁波大学邹得球团队创新研制金属基微胶囊相变材料,筑牢动力电池安全防线!






