
早期微裂纹的监测与修复对维持涂层防护性能和使用寿命至关重要。近期,中国计量大学卫国英教授和吉翠萍等人通过微流控技术与界面聚合相结合,成功制备了尺寸约0.95μm且均匀的核壳微胶囊,并将其应用于智能涂层。该涂层利用微胶囊封装的荧光诊断剂和光固化修复剂,实现了微裂纹位置的实时可视化监测与紫外光触发下的自主修复。相关研究以“Self‐Diagnostic and Self‐Healing Intelligent Coatings Based on Microcapsules by Microfluidic Technology”为题目,发表于期刊《Journal of Applied Polymer Science》。
本文要点:
1、结合微流控技术和界面聚合法,制备了核壳结构微胶囊,尺寸约0.95μm,核心包含罗丹明B(诊断剂)、1,3-双(环氧丙氧基)四甲基二硅氧烷(修复剂)和光引发剂,壳层为聚脲。
2、将微胶囊加入硅树脂和硅烷偶联剂的混合物中,涂覆在玻璃基底上固化,开发了兼具自诊断与自修复功能的智能涂层。
3、通过SEM、FTIR、TGA、荧光显微镜、电化学阻抗谱等手段对微胶囊和涂层的结构、性能进行表征。



Scheme 1:微胶囊合成示意图。

Scheme 2:微胶囊基涂料的自我诊断和自我修复机制。

图1(a)微胶囊的SEM图像。(b)破碎微胶囊的SEM图像。(c)微胶囊的SEM图像和EDS图。(d)微胶囊的尺寸分布。(e)Rh B、B3001、壳材和微胶囊的FTIR光谱。

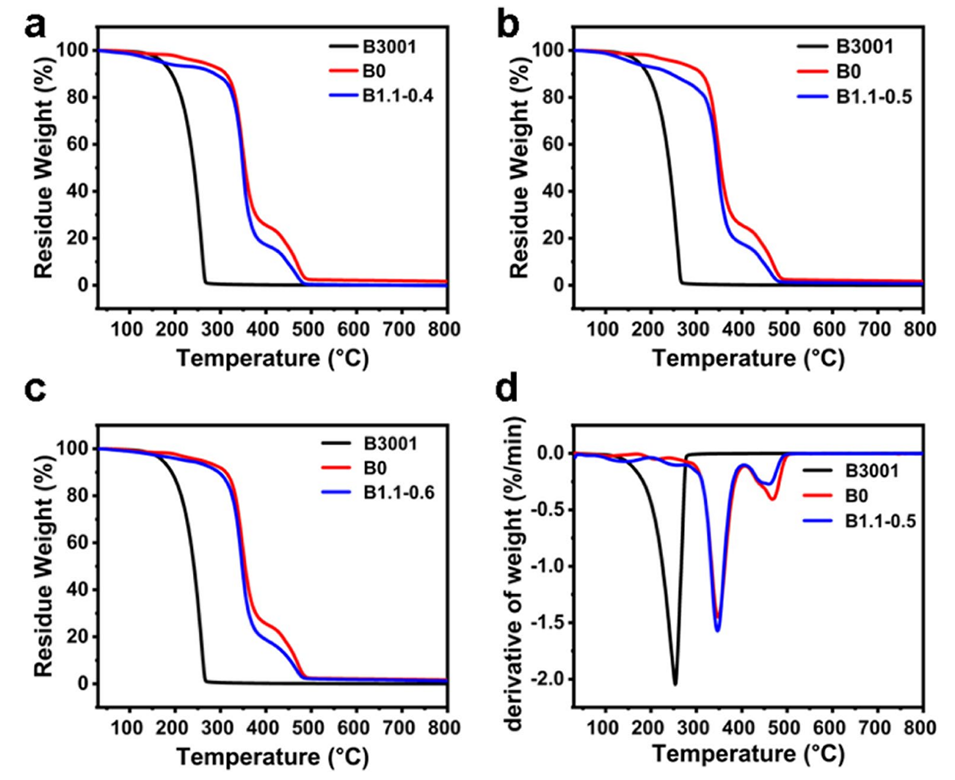
图2 B3001、B0和(a)B1.1–0.4,以及(b)B1.1–0.5和(c)B1.1–0.6微胶囊的TGA曲线。(d)B3001、B0和B1.1–0.5微囊的DTG曲线。

图3紫外线照射0、8、16和24小时后,(a)BS-12.5和(b)MC-12.5的扫描电镜图像,以及(c)BS-12.5和(d)MC-12.5的光学显微镜图像。MC-12.5涂层(e)在紫外线照射前和(f)48小时后的EDS图。

图4紫外线照射0、8、16和24小时后,(a)MC-11.1和(b)MC-14.3的SEM图像,以及(c)MC-11.1和(d)MC-14.3的光学显微镜图像。

图5(a)完整涂层以及紫外线照射(b)0小时、(c)8小时、(d)16小时、(e)24小时和(f)48小时后受损涂层的荧光显微镜图像。

图6原始、受损和愈合涂层(a-b)在浸泡前和(c-d)在3.5wt%NaCl溶液中浸泡12、24小时后的奈奎斯特图和波特图。
论文链接:https://doi.org/10.1002/app.57408






