硅作为锂离子电池(LIBs)的潜在负极材料,具有高达4200 mAh/g的理论比容量,但在充放电循环中约300%的体积变化会导致电极结构严重损坏、离子电导率下降和容量快速衰减,限制了其进一步应用。

近期,电子科技大学李飞副教授和潘虹博士等人设计了一种高封装效率的离子液体微胶囊(IL-MS),通过优化核壳结构实现了68%的封装效率,并将其应用于硅负极体系中,显著提升了电极的循环稳定性和倍率性能,为解决硅负极体积膨胀难题提供了新策略。相关研究以“High Encapsulation Efficiency of Ionic Liquid Microcapsules for Stable Silicon Anode”为题发表于期刊《Materials Today Energy》。
本文要点:
1、通过PVA改性溶剂蒸发法合成了具有高封装效率和亚微米直径的离子液体封装聚苯乙烯微胶囊(IL-MS),旨在解决硅负极在充放电过程中因体积变化导致结构破坏和离子传输路径受阻的问题。
2、所得IL-MS可均匀分散在硅负极中,以重建锂离子传导路径并增强其循环稳定性。
3、通过控制乳化过程中的核壳质量比和聚苯乙烯浓度,IL-MS的封装效率高达68%,且粒径均匀,约1.46μm。
4、充放电时预嵌入硅负极的IL-MS破裂,不仅利于硅颗粒应力消散,还能通过重建离子传导路径提高硅负极的离子导电性。
5、实验结果表明,在0.84 A/g的电流强度下,经过200次循环后,含有10% IL-MS的电极容量保持在1732.1 mAh/g,展现出超稳定的循环性能。
离子液体微胶囊的制备过程



图1.(a)微胶囊制备示意图;(b)微胶囊的光学显微镜照片;(c)正常微胶囊和破损微胶囊的扫描电子显微镜图像,插图为破裂微胶囊的放大视图;(d)微胶囊的动态光散射(DLS)纳米粒度分析;微胶囊壳层的能谱(EDS)元素分布:C(e)、N(f)、O(g)、F(h)、S(i)。

图2.离子液体微胶囊(IL-MS)的封装效率及与已报道文献的对比。

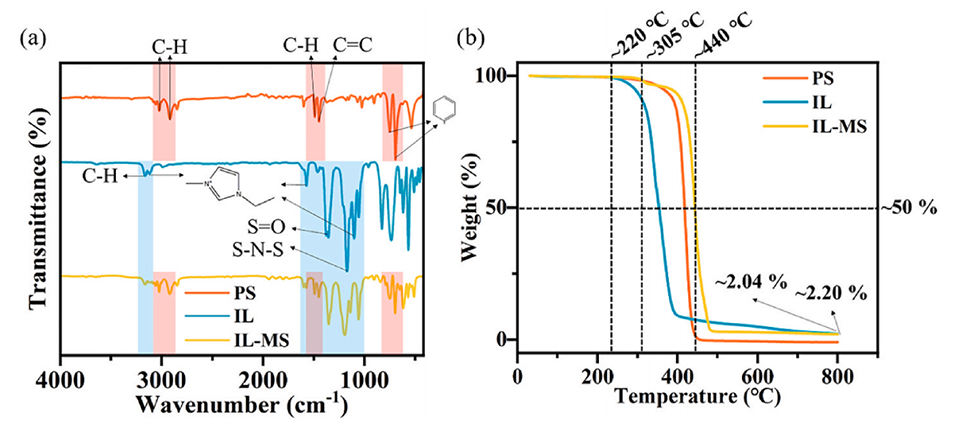
图3.(a)[EMIm][FSI]离子液体、聚苯乙烯(PS)壳层和IL-MS微胶囊的傅里叶变换红外光谱(FTIR);(b)热重分析(TGA)曲线。

图4.不同微胶囊含量的固体膜光学照片:(a)Alg-Ni(b)Alg-Ni+5%微胶囊(c)Alg-Ni+10%微胶囊(d)Alg-Ni+20%微胶囊;(e)不同IL-MS含量的固体膜电池的离子电导率。

图5.(a)纯硅(b)添加10wt%微胶囊的循环伏安法(CV)曲线,(c)循环性能测试,(d)倍率性能测试。

图6.(a)IL-MS在硅电极中的作用机制示意图;奈奎斯特图(b)循环前和(c)循环后,(d)循环前后电荷转移电阻(Rct)对比。

图7.纯硅电极(a, b)循环前和(c, d)10wt% IL-MS/Si电极的扫描电子显微镜图像;纯硅电极(e, f)循环后和(g, h)10wt% IL-MS/Si电极的扫描电子显微镜图像。
论文链接:https://doi.org/10.1016/j.mtener.2025.101957






