
导读:
近期,天津大学郭锦棠教授、胡苗苗副研究员等人采用乳液聚合法,成功制备出以环氧树脂为壳的相变微胶囊(MBPCM),并通过引入疏水改性氮化硼(BNVT),有效提升了其储能效率与综合性能。研究详细分析了该微胶囊在水泥体系中的应用效果,发现其不仅能显著降低水泥水化放热,减少天然气水合物分解风险,还可在适宜掺量下增强水泥石早期抗压强度。相关研究以“Preparation of boron nitride reinforced epoxy phase change microcapsules for the cementing of natural gas hydrate layers”为题目,发表在期刊《Construction and Building Materials》上。
本文要点:
1、本研究采用乳液聚合法,以环氧树脂为壳制备高储热效率的相变微胶囊(MBPCM),引入疏水改性氮化硼(BNVT)可提高其储能效率。
2、所制备的MBPCM为典型核壳结构,平均粒径约716nm,壳厚约23nm,相变焓达185J/g。
3、含5wt%BNVT的MBPCM过冷温度仅0.70℃,导热系数提高约131.0%;
4、水泥中掺入7%MBPCM,水化温度降低12.23℃,水化放热减少46.9%。
5、掺入3%MBPCM,水泥石2天抗压强度提高6%。这得益于微胶囊表面羟基改善水泥浆分散性,减少孔隙,但高掺量时因微胶囊团聚产生大量孔隙,会降低抗压强度。
6、该微胶囊可有效降低水泥水化放热,避免天然气水合物分解,提升开采安全性。



图1.羟基化氮化硼(BN-OH)和疏水改性氮化硼(BNVT)的合成路线

图2.相变微胶囊(MBPCM)的合成路线

图3.六方氮化硼(h-BN)(a)和BNVT(b)的扫描电镜图像,BNVT的透射电镜图像(c),样品的粒径分布(d),BNVT的原子力显微镜图像(e)及典型高度剖面(f)

图4. h-BN、BN-OH和BNVT的红外光谱(a)与X射线光电子能谱(b);BN-OH中N元素(c)、B元素(d)的高分辨X射线光电子能谱;BNVT中Si元素的高分辨X射线光电子能谱(e);h-BN、BN-OH和BNVT的热重分析(f)

图5. BN-OH(a)和(b)BNVT的接触角;BN-OH(c)和BNVT(d)的光学显微成像;环氧树脂复合材料断面的扫描电镜图像:含1%BN-OH(e)、3%BN-OH(f)、5%BN-OH(g)及对照(h);含1%BNVT(i)、3%BNVT(j)、5%BNVT(k)及对照(l)

图6.相变微胶囊的扫描电镜图像:MBPCM-0(a)、MBPCM-1(b)、MBPCM-2(c)、MBPCM-3(d);MBPCM-0(e)和MBPCM-2(g)的透射电镜图像;相变微胶囊的粒径分布(h)

图7.样品的化学结构分析:红外光谱(a)和X射线衍射图谱(b)

图8.硬脂酸甲酯(MS)及MBPCM-0、MBPCM-1、MBPCM-2、MBPCM-3的差示扫描量热曲线:升温曲线(a)、降温曲线(b);熔融(ΔTm)与结晶(ΔTc)温差及过冷度(ΔT)(c);MBPCM-0的热循环测试(d)

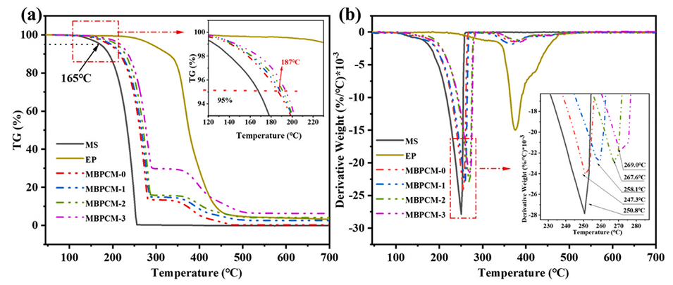
图9. MS、环氧树脂(EP)及MBPCM-0、MBPCM-1、MBPCM-2、MBPCM-3的热重曲线(a)和微分热重曲线(b)

图10.相变微胶囊的抗泄漏实验:MBPCM样品的热循环照片(a);热循环后样品的差示扫描量热曲线(b);MBPCM样品的泄漏率(c)

图11.相变微胶囊的导热系数(a);相变微胶囊表面温度随时间变化曲线(b);相变微胶囊的红外热成像图(c)

图12.不同MBPCM-2掺量下水泥浆72小时内的温度(a)和水化放热(b)

图13. 20℃养护条件下水泥石的抗压强度

图14.样品的粒径分布(a)和zeta电位图谱(b);不同MBPCM-2掺量下水泥浆的流动性(c);水泥浆的微观结构:空白组(d)、3%MBPCM-2组(e)、7%MBPCM-2组(f)

图15.养护2天后水泥石的累计孔体积(a)和孔径分布(b)

图16.不同MBPCM-2质量分数水泥石的微观形貌:1%(×60k,a)、3%(×40k,b)、5%(×40k,c)、7%(×40k,d)
论文链接:https://doi.org/10.1016/j.conbuildmat.2025.142450
Previous: 微流控技术调控Ni/CeO2氧空位和金属分散度,实现低温高效CO2甲烷化






