
导读:
扩散动力学限制会影响多孔材料的吸附性能,分级多孔结构是解决该问题的有效策略之一,但构建有序的宏-微孔分级结构以最大化材料性能仍面临挑战。近期,四川大学化学学院马利建教授、张美成老师等人通过微流控技术自组装纳米级ZIF-8颗粒,成功构建了有序分级多孔碳微球超结构(HPCM),有效克服了扩散动力学限制;进一步引入d轨道电子数不同的过渡金属(Co/Ni/Zn)调控表面微环境,利用d-p轨道杂化增强电荷转移能力,显著提升了对低浓度Cs+的吸附性能。相关研究以“Hierarchical Porous Composite Carbon Microsphere Superstructures Based on D‐p Orbital Hybridization for Efficient Capture of Low‐Concentration Cs+”为题目,发表在期刊《Small》上。
本文要点:
1、本研究制备了一种基于d-p轨道杂化的分级多孔复合碳微球超结构,以高效捕获低浓度的Cs⁺。
2、利用微流控技术,将纳米级原始颗粒自组装成具有有序分级孔结构的复合碳微球超结构,克服了扩散动力学限制。
3、通过引入不同d轨道电子数的过渡金属(Co、Ni、Zn),调控超结构的表面微环境,借助d-p轨道杂化增强吸附性能。
4、实验表明,含Zn的复合碳微球超结构(HPCM-Zn@D)对低浓度Cs⁺的吸附容量是无金属碳微球的5倍,在常规和电化学吸附环境中均表现出高吸附容量、快吸附动力学,且具有良好的选择性和循环稳定性。

微流控技术如何实现对纳米级原始颗粒的自组装?
在该研究中,微流控技术通过以下步骤实现纳米级原始颗粒(TRD-ZIF-8)的自组装,形成有序的超结构:
1、分散相与连续相配置
将TRD-ZIF-8纳米颗粒分散在甲醇-水混合溶液(体积比1:9)中,并加入阳离子表面活性剂十六烷基三甲基溴化铵(CTAB)作为分散相。
以含1wt.%全氟表面活性剂的全氟油作为连续相,利用十字交叉型微流控装置形成均匀的油包水乳液液滴。
2、液滴稳定性调控
阳离子表面活性剂CTAB通过空间位阻和静电排斥作用稳定液滴界面,防止纳米颗粒进出液滴,为自组装提供稳定的微环境。
对比实验显示,阴离子表面活性剂(如SDS)或无表面活性剂时,液滴稳定性差,难以形成完整超结构,表明阳离子表面活性剂是自组装的关键。
3、溶剂缓慢蒸发诱导自组装
将油包水液滴在5°C环境中缓慢干燥30天,液滴内的水-甲醇混合溶剂逐渐扩散蒸发,导致液滴体积收缩,从而产生内向毛细力,驱动纳米颗粒向液滴中心迁移并沿液滴曲面有序堆叠。
最终形成约40μm的洋葱状超结构(TRD-ZIF-8-H),其表面呈现菱形晶胞排列,符合菱面体堆积特征。
这一过程通过微流控技术精准控制液滴尺寸和界面稳定性,结合溶剂缓慢蒸发的动力学调控,实现了纳米颗粒的有序自组装,为后续形成分级多孔碳微球超结构奠定基础。

图1. a) HPCM-Co、HPCM-Ni和HPCM-Zn的合成过程示意图。b) TRD-ZIF-8-H的三维模型、c,d)扫描电镜图像及e)相应的EDS元素映射图像。f) HPCM-Zn的三维模型、g,h)扫描电镜图像及i)相应的EDS元素映射图像。

图2. a) HPCM-Zn、HPCM-Co、HPCM-Ni和HPCM的粉末X射线衍射图谱,b)拉曼光谱,c)高分辨反卷积XPS光谱,d) TRD-ZIF-8、TRD-ZIF-8-C和HPCM-Zn在77K下的氮气吸附-脱附等温线。

图3. a)样品的傅里叶变换红外光谱。b) Co2p、c) Ni2p和d) Zn2p的高分辨反卷积XPS光谱。

图4. a) HPCM-Co、b) HPCM-Ni和c) HPCM-Zn的局域态密度。d) HPCM-Co、e) HPCM-Ni和f) HPCM-Zn的电荷密度差分图(等值面数值为0.004 e/bohr³)。g) HPCM-Co@D、h) HPCM-Ni@D和i) HPCM-Zn@D的吸附能及电荷密度差分图(等值面数值为0.0002 e/bohr³)。黄色和青色区域分别代表电荷积累和电荷损耗。

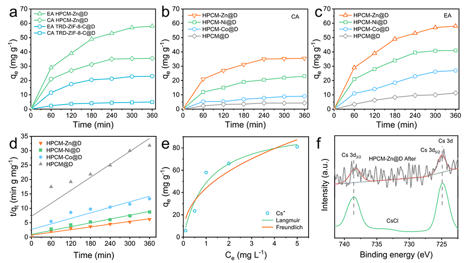
图5. a)在常规吸附(CA)和电化学吸附(EA)中,TRD-ZIF-8-C@D和HPCM-Zn@D对Cs+的吸附容量随时间变化。b)常规吸附和c)电化学吸附中,HPCM@D和HPCM-M@D对Cs+的吸附容量随时间变化。d) HPCM@D和HPCM-M@D对Cs+的电化学吸附伪二级动力学曲线。e) HPCM-Zn@D对Cs+的Langmuir和Freundlich吸附等温线模型。f) CsCl和反应后HPCM-Zn@D的Cs3d XPS光谱。
论文链接:https://doi.org/10.1002/smll.202409054






