
近期,格勒诺布尔阿尔卑斯大学的Dr. Chaouqi Misbah与伦敦玛丽皇后大学的Pro. Yi Sui合作,探究了在微通道中流动的液滴包裹软微粒的变形动力学,发现液滴能显著增强软微粒的变形,并提出了预测微囊变形的理论模型。相关研究以“Droplets can enhance microcapsule deformation in channel flow”为题目发表于期刊《Communications Physics》。
本文要点:
1、探究了经液滴包裹的柔性微胶囊在微通道中流动时的变形特性,发现将微胶囊封装在液滴中可以显著增强其变形能力,变形参数可提高两个数量级。
2、在通道流中发现了之前未曾报道的胶囊平衡形状,包括扁球形和反向子弹形,并提出了两种理论模型来分别预测胶囊在液滴中的平衡位置和变形程度。
3、这一发现为增强和控制流动悬浮液中软颗粒的变形提供了一种有效且简单的方法,有望在单细胞机械表型分析、跨膜药物递送以及制造形状可控的非球形颗粒和人工细胞等领域得到广泛应用。
在微通道流动中,微胶囊的变形模式受到多个因素的影响,主要包括以下几点:
1、液滴表面张力:液滴的表面张力对微胶囊的变形有着显著影响。随着液滴表面张力的增加,微胶囊的形状会经历从子弹形到扁球形,再到反向子弹形的转变,这与液滴内部的流动模式和压力差异密切相关。
2、胶囊和液滴的相对大小:胶囊与液滴的大小比率也会影响其变形模式。较小的胶囊倾向于迁移到液滴的中心区域,并在Hill涡旋中变形为不对称的椭球形状,而较大的胶囊则更可能迁移到通道中心线并呈现对称形状。
3、流动剪切力和拉伸流动:流动剪切力和拉伸流动对胶囊的变形起着关键作用。在液滴内部,形成的反向涡流和拉伸流动会导致胶囊在流动中受到更强的流体应力,从而增强其变形。
4、胶囊膜的弹性:胶囊膜的弹性特性(如剪切弹性模量Gs)也会影响其变形能力。较硬的胶囊膜在流动中会经历更大的变形,而较软的膜则可能表现出不同的变形行为。
5、流动速度:通道中的流动速度(如平均流速Uin)会影响胶囊的变形程度。流速越高,流体对胶囊施加的剪切力和拉伸力越大,从而导致更显著的变形。
增强胶囊变形在微流体学中的潜在应用包括:
1、单细胞机械表征:通过显著增强细胞的变形,可以实现高通量的单细胞机械特性分析,从而更好地理解细胞的性质和行为。
2、细胞内药物递送:增强的胶囊变形可以导致细胞膜的破裂,提高药物的渗透性,从而改善药物递送的效率,特别是在治疗癌症等疾病时。
3、材料合成:研究中发现的新胶囊平衡形状(如扁球体和反向子弹形状)可以用于制造形状可控的非球形颗粒,这些颗粒在化妆品、药物和生物技术等领域具有独特的应用。
4、组织工程:通过控制细胞聚集体的形状,可以影响细胞的迁移、增殖和分化等行为,有助于开发功能性组织。
5、微流体设备:这些发现可以激发新型微流体设备的设计,利用液滴方法增强细胞变形,降低通道堵塞的可能性,提高各种微流体应用的效率。

图1.通道流中单独液滴、单独胶囊和封闭在液滴中的胶囊的稳定形状和周围流场。

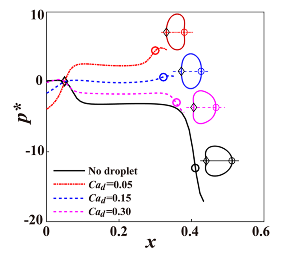
图2.胶囊附近沿通道中心线的压力。

图3.通道流中被液滴包裹的胶囊的稳定形状和显著增强变形的相图。

图4.在通道中流动的液滴内胶囊的两种平衡变形模式。

图5.提出的简单模型可以很好地预测液滴内两个平衡位置的胶囊变形。
论文链接:https://doi.org/10.1038/s42005-024-01805-4
Previous: 一图读懂综述:磁性纳米粒子的微流控合成及生物医学应用






