背景:
香料作为一种挥发性芳香物质,广泛应用于香水、护肤品和清洁剂等产品中。然而,由于其挥发性,香料在使用过程中效果会迅速减弱,因此控制香料的释放速率成为一个重要的研究课题。封装技术被认为是减少香料挥发性的一种有效策略,通过将香料包裹在固体聚合物或矿物材料的壳层中,形成微胶囊,从而改善香料的保留和控制释放。
近年来,研究者们提出了多种物理和化学方法来制备微胶囊,包括共沉淀、相分离、溶剂蒸发、溶胶-凝胶封装和喷雾干燥等技术。这些微胶囊的形态和特性与所采用的封装方法、活性成分的物理化学性质以及所用的壳材料密切相关。

导读:
近期,有研究人员通过调控壳层聚合物的分子量和玻璃化转变温度(Tg),以及乳化剂浓度,来制备具有温度响应性的香料微胶囊,并探究了这些因素对微胶囊形态特性及香料释放行为的影响,成功制备出在特定温度范围内香料释放速率显著变化的智能微胶囊。相关研究以“Temperature-sensitive fragrance-releasing polymeric microcapsules”为题目发表于期刊《European Polymer Journal》。
本文要点:
1、本研究旨在通过温敏微胶囊来控制香料的释放,使其在特定温度下表现出显著的释放率变化。
2、为此,采用溶剂蒸发法制备了以R-柠檬烯为模型香料,以不同丙烯酸类聚合物为壳层的微胶囊,包括两种不同分子量的聚甲基丙烯酸甲酯以及两种聚[(甲基丙烯酸甲酯)–(丙烯酸-2-乙基己酯)]共聚物。
3、研究发现,提高壳层聚合物的分子量可增加微胶囊的尺寸、壳层厚度和孔隙度。而增加乳化剂浓度至1.5 wt%可降低微胶囊的尺寸和孔隙度。
4、香料释放动力学研究表明,除扩散外,毛细管效应也参与了释放过程。
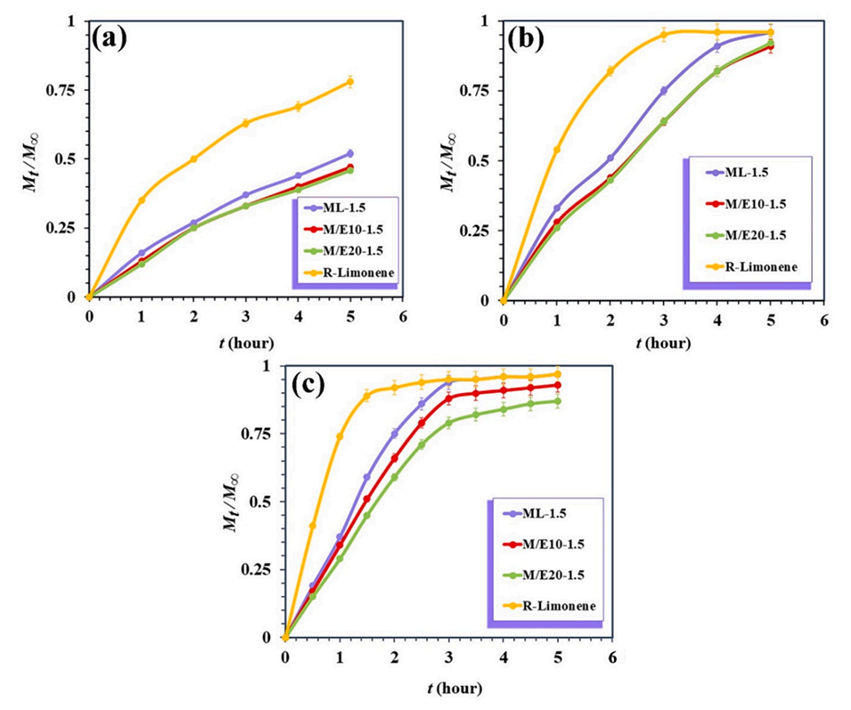
5、此外,温度从5°C升至15°C时,以共聚物为壳层的微胶囊显示出显著的释放率增加,这归因于温度升高导致共聚物的链段流动性显著增强。
6、总体而言,本研究为制备具有温度响应性的智能释香微胶囊提供了一种有效方法。
本研究发现,提高壳层聚合物的分子量可以增加微胶囊的尺寸、壳层厚度和孔隙度。具体来说:
相较于使用低分子量聚甲基丙烯酸甲酯(PMMA-L)制备的微胶囊,使用高分子量PMMA(PMMA-H)制备的微胶囊,其粒子尺寸较大,壳层厚度更厚,且表面孔隙度更高。
这是因为高分子量聚合物具有较高的粘度和较低的可塑性,在微胶囊形成过程中,其链段难以充分伸展和收缩,从而导致壳层更厚且具有更多孔隙。另外,高分子量聚合物在溶剂中的溶解度较低,在微胶囊形成过程中更容易从有机相分离,从而生成更多的孔隙。
相比之下,低分子量PMMA具有较高的可塑性和链段活动性,有利于形成更加致密均匀的壳层结构,因此制备的微胶囊尺寸更小、分布更窄、孔隙度更低。
总之,通过调控壳层聚合物的分子量,可以有效调控微胶囊的尺寸、壳层厚度和孔隙度等特性,从而满足不同应用领域的需求。
玻璃化转变温度(Tg)如何影响微胶囊中香料的释放速率和机制?
玻璃化转变温度(Tg)是聚合物从硬脆状态转变为软韧状态的温度,这一转变对微胶囊的功能和性能有显著影响。在微胶囊中,Tg的变化直接影响聚合物链的运动性。当温度高于Tg时,聚合物链段的运动性显著增强,导致香料释放速率加快。因此,选择具有适当Tg的聚合物是实现温度敏感性释放的关键。
较低Tg的聚合物在较低温度下即可实现显著的释放,适合于需要快速释放香料的应用。而高Tg聚合物则适合于需要延长释放时间的场合。此外,Tg的不同不仅影响释放速率,还可能改变释放的机制,可能从扩散主导转变为其他机制(如毛细效应或聚合物链段移动引起的释放)。因此,Tg的控制是设计高效微胶囊体系的重要参数。


图1.(a)PMMA-L、(b)MMA/EHA(10)和(c)MMA/EHA(20)共聚物的1H NMR光谱。

图2.PMMA-L和MMA/EHA(10)和MMA/EHA(20)共聚物的DSC曲线。

图3.PMMA-H、PMMA-L、MMA/EHA(10)和MMA/EHB(20)的分子量分布。

图4.(a)MH-1.0和(d)ML-1.0微胶囊的OM图像,完整的(b)MH-1.0和(e)ML-1.0微胶囊的SEM图像,以及在液氮中破碎后(c)MH-1.0和(f)ML-1.0微胶囊的不同放大倍数SEM图像。

图5.(a)ML-1.5和(d)ML-2.0微胶囊的OM图像,完整的(b)ML-1.5.和(e)ML-2.0.微胶囊的SEM图像,以及在液氮中破碎后(c)ML-1.5和(f)ML-2.0微胶囊的不同放大倍数SEM图像。

图6.PVA水溶液的表面张力与聚合物浓度的关系。

图7.(a)M/E10-1.5和(d)M/E20-1.5微胶囊的OM图像,完整的(b)M/E10-1.5和(e)M/E20-1.5微胶囊的SEM图像,以及在液氮中破碎后(c)M/E10-1.5和(f)M/E20-2.5微胶囊的不同放大倍数SEM图像。

图8.PMMA-L均聚物、MMA/EHA(10)和MMA/EHA(20)共聚物的TGA曲线。

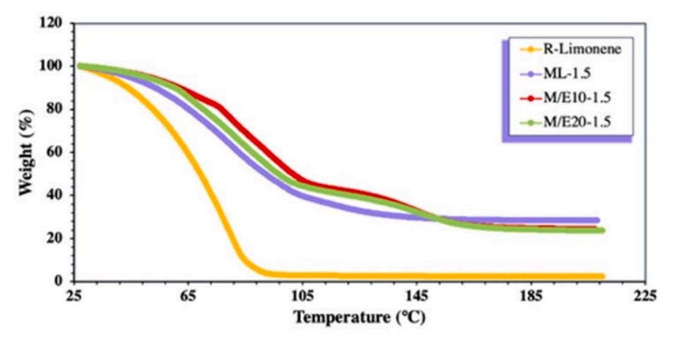
图9.R-柠檬烯和载香微胶囊样品的TGA曲线。

图10.在(a)5℃、(b)15℃和(C)25℃的温度下,纯香料和不同载香聚合物微胶囊的香料释放曲线。

图11.不同温度下未加载的R-柠檬烯样品和加载的微胶囊的等温香料释放半衰期。

图12.ML-1.5样品在15℃下的释放曲线以及零阶、一阶、Korsmeyer-Peppas和Baker-Londsdale模型的相应拟合。
论文链接:https://doi.org/10.1016/j.eurpolymj.2024.113256
Previous: 清华大学程易教授团队:共封装亲疏水活性物质的热响应相变油凝胶微胶囊






