
导读:
在液滴微流体学中,静电场可用于调节液滴的形成,但对多层乳液液滴形成的理解仍然不全面。近期,武汉科技大学汪朝晖教授团队探究了在电场控制下,三重乳液液滴在交叉流微通道中的形成机制,通过数值模拟分析了液滴的流动特性、结构稳定性及其对液滴单分散性和尺寸的影响。相关研究以“Triple emulsion droplets formation in cross-flow microchannel under electrostatic field control”为题发表于期刊《Chemical Engineering Science》。
本文要点:
1、本研究通过建立静电场与相场的耦合模型,对三重乳液在交叉流微通道中的流动进行了数值模拟研究,并评估了液滴的质量和力学特性。
2、研究结果表明,通道中的乳液通过滴落和射流两种方式生成三重乳液液滴。
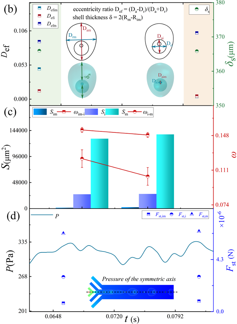
3、当电场强度保持不变时,滴落模式生成的液滴的平均核/壳偏心率为0.0366,平均壳层厚度最大可达375.322μm,表明其结构更稳定。
4、增加电场强度可增强液滴内部速度,加速内部物质循环。
5、静电驱动加速了三重乳液的形成,并影响液滴的单分散性和尺寸,导致三重乳液的壳层更薄。
6、上述研究结果加深了对多层乳液液滴形成过程的理解,为多组分液滴的微流体制备提供了理论基础。
电场强度对三重乳液液滴的形成有显著影响,主要体现在以下几个方面:
形成机制:在电场作用下,三重乳液液滴的形成主要通过两种机制进行:滴落(dripping)和射流(jetting)。电场的施加使得液滴在微通道中能够更有效地形成和分离。
内部流动速度:随着电场强度的增加,液滴内部的流动速度显著增强。这种增强的流动速度促进了液滴内部物质的循环,从而加速了液滴的形成过程。
液滴结构稳定性:研究表明,在恒定电场强度下,通过滴落机制生成的液滴具有较低的平均核/壳偏心率(ωim-i为0.0366),平均壳层厚度(δs)最大可达375.322μm,这表明液滴的结构更加稳定。
液滴单分散性和尺寸:电场的施加有助于提高液滴的单分散性,并导致生成的三重乳液液滴壳层更薄。这意味着电场不仅影响液滴的形成效率,还改善了液滴的均匀性和质量。
综上所述,电场强度通过调节液滴的形成机制、增强内部流动、提高结构稳定性以及改善液滴的单分散性和尺寸,显著影响三重乳液液滴的形成过程。




图1.(a)交叉流微流体装置示意图。(b)轴对称计算域的几何描述。(c)计算域的边界条件设置和三重乳液液滴的参数。(d)三重乳液液滴的结构。Qim、Qi、Qm和Qo分别是最内、内、中、外相的流量,E表示电场强度,V表示电势。

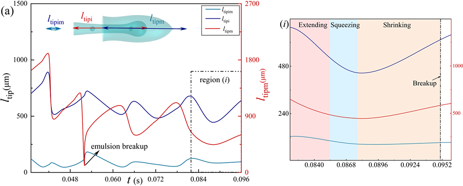
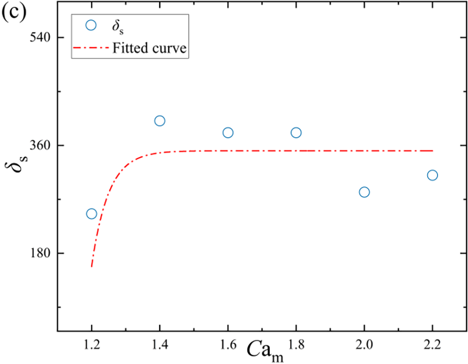
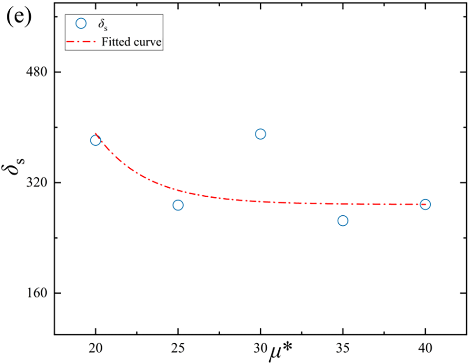
图2.三重乳液液滴的壳层厚度(δs)。

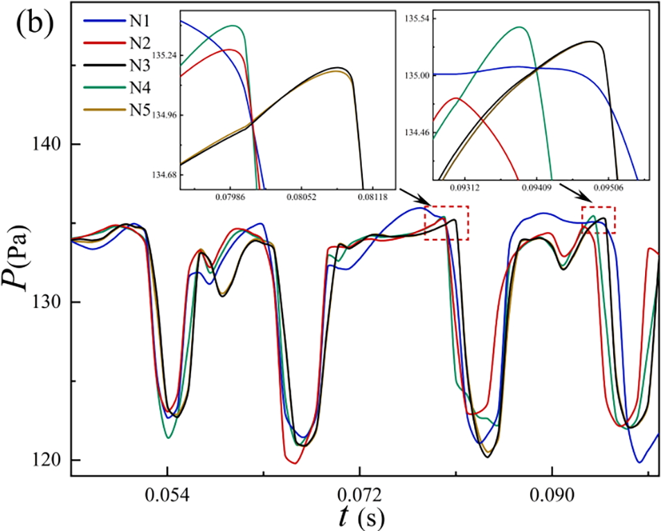
图3.乳液液滴形成的力学图。

图4.(a)计算域的网格。(b)局部区域的放大网格(c-c)。



图5.Cae=7.8×10-4,Cao=0.076,Qim:Qi:Qm:Qo=5.25:1.8:5.25:17下的网格独立性验证结果。(a)不同网格数下三重乳液液滴形成的界面。(b)不同网格数下的压力分布。(c)不同网格数下液滴轴向直径的相对误差(ξ),其中下标im代表最内相流体,i代表内相流体;m代表中间相流体。

图6.用于乳液液滴形成的微流体装置示意图。


图7.实验和模拟结果的比较,LE和LS分别表示实验和数值结果中的液滴长度。


图8.静电场控制下流动聚焦通道中液滴的形成,实验和模拟结果的比较。(a)液滴形成频率随电势的变化;(b)不同电位下液滴的形态。



图9.滴落模式。(a)三重乳液液滴形成过程。(b)乳液流动的压力和速度场随时间的变化。(c)不同时刻乳液流动的界面张力(Fst)和静电力(Fe)。


图10.滴落状态下三重乳液液滴形成的质量评估和力学分析。



图11.短射流模式。(a)三重乳液液滴形成过程。(b)乳液流动的压力和速度场随时间的变化。(c)乳液流动的界面张力(Fst)和静电力(Fe)随时间的变化。


图12.短射流模式下三重乳液液滴形成的质量评估和力学分析。



图13.长射流模式。(a)三重乳液液滴形成的全过程。(b)乳液流动的压力和速度场随时间的变化。(c)不同时刻乳液流动的界面张力(Fst)和静电力(Fe)。


图14.长射流模式下三重乳液液滴形成的质量评估和力学分析。




图15.电场控制下乳液流态转变的力学分析。(Caim=8×10-3,Cam=1.6×10-3,Cao=0.072)

图16.不同参数下液滴的速度分布。






图17.乳液液滴形成过程中速度随时间的演变。






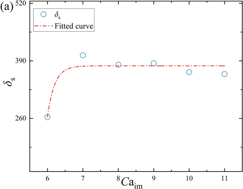
图18.不同参数下壳体厚度(δs)的演变。




图19.静电场控制下无量纲断裂线(lb/L)的变化。


图20.电场对三重乳液形成的影响(Caim=0.01,Cai=7.2×10-3,Cam=1.6×10-3,Cao=0.072)。





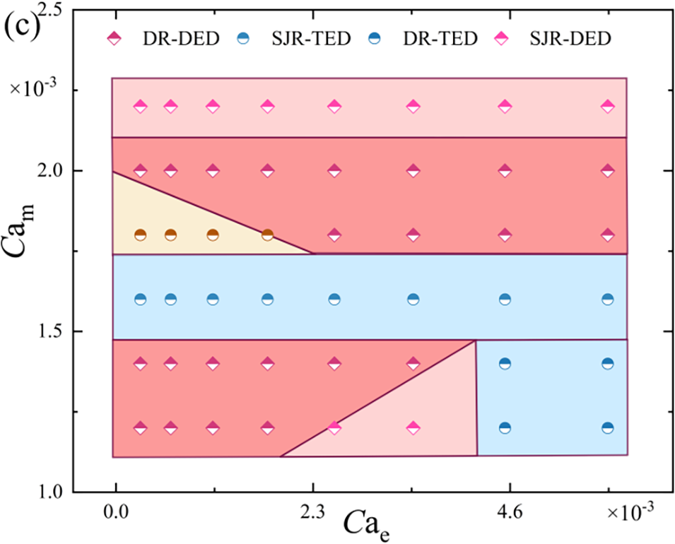
图21.系统中的流态图随Ca和Cae的变化。
论文链接:https://doi.org/10.1016/j.ces.2025.121203
Previous: 微流控与ES-DMA的完美结合,实现透明质酸水凝胶的精准合成






