
导读:
槲皮素和γ-氨基丁酸(GABA)是两种具有抗焦虑特性的化合物。但槲皮素的难溶性和植物中GABA的低提取率是限制其应用的主要问题。近期,东北农业大学张英华教授团队与蒙牛首席科学家母智深博士合作,通过超声和氯化钙胁迫技术富集菜豆中的γ-氨基丁酸(GABA),并将其作为亲水性乳化剂制备水包油包水(W/O/W)双乳液,成功实现了对GABA和槲皮素的高效共递送,显著提高了两种化合物在模拟胃肠消化中的稳定性、生物利用度和抗焦虑效果。相关研究以“GABA as hydrophilic emulsifier for W/O/W double emulsion: Co-delivering anti-anxiety compounds GABA and quercetin”为题目,发表在期刊《Journal of Molecular Liquids》上。
本文要点:
1、本研究利用超声和氯化钙诱导胁迫富集菜豆中的γ-氨基丁酸(GABA),并将其作为表面活性剂替代部分吐温80制备水包油包水(W/O/W)双乳液,用于同时递送抗焦虑化合物GABA和槲皮素。
2、双乳液中水相和油相共存,有助于槲皮素(疏水性)和GABA(亲水性)的同时递送。
3、研究表明,GABA具有良好的表面活性剂性能,当其在外部水相中部分替代吐温80时,可以形成稳定的双乳液。
4、该乳液对槲皮素和GABA的包封效率分别为86.66%和91.01%,在模拟胃肠消化中表现出更高的稳定性、生物利用度和抗焦虑效果。
这种水包油包水(W/O/W)双乳液的具体制备步骤如下:
1.内部水相(W1)的制备
内部水相(W1)为含有5% GABA的水溶液。
2.油相(O)的制备
油相(O)为含有5%聚甘油聚蓖麻醇酯(PGPR)的大豆油。
将槲皮素/乙醇溶液加入油相中,搅拌并蒸发乙醇,使槲皮素均匀分散在油相中,最终浓度为1 mg/mL。
3.油包水(W1/O)乳液的制备
将内部水相(W1)与油相(O)按体积比3:7混合。
使用均质机(IKA T18 digital ULTRA-TURRAX,德国)以12,000 rpm的速度均质3分钟,形成油包水(W1/O)乳液。
4.外部水相(W2)的制备
外部水相(W2)含有不同的乳化剂,分别为:5% 吐温80(Tween 80);5% 卵磷脂(Lecithin);5% 乳清蛋白(Whey protein);2.5% 吐温80 + 2.5% GABA(部分替代)。
5.水包油包水(W1/O/W2)双乳液的制备
将制备好的W1/O乳液与外部水相(W2)按体积比2:8混合。
使用均质机以12,000 rpm的速度均质3分钟,形成W1/O/W2双乳液。
6.乳液的保存
制备好的双重乳液立即转移到4°C的冰箱中保存,以备后续实验使用。
使用γ-氨基丁酸(GABA)部分替代吐温80(Tween 80)具有以下优势:
1、降低健康风险:
GABA部分替代吐温80可以减少吐温80的用量,降低其在食品中可能带来的健康风险,同时满足现代消费者对健康食品的需求。
2、增强乳液的生物活性:
GABA本身具有抗焦虑功能,将其作为乳化剂不仅能替代部分吐温80,还能直接增强乳液的生物活性,提升其功能价值。
3、提高乳液的稳定性:
GABA与吐温80的组合能够形成更稳定的乳液结构,减少乳液在储存和消化过程中的相分离和聚集现象,延长乳液的保质期。
4、改善乳液的包封效率:
GABA作为乳化剂能够与吐温80协同作用,形成更致密的界面层,显著提高乳液对生物活性物质(如槲皮素和GABA)的包封效率,减少活性成分的损失。
5、实现靶向释放与生物利用度提升:
在模拟胃肠消化中,GABA部分替代吐温80的乳液能够更好地保护活性成分,并在肠道阶段实现靶向释放,显著提高生物利用度。
6、环境友好性:
GABA是一种天然的生物活性物质,与合成乳化剂相比,具有更高的环境友好性和生物可降解性,符合可持续发展的要求。

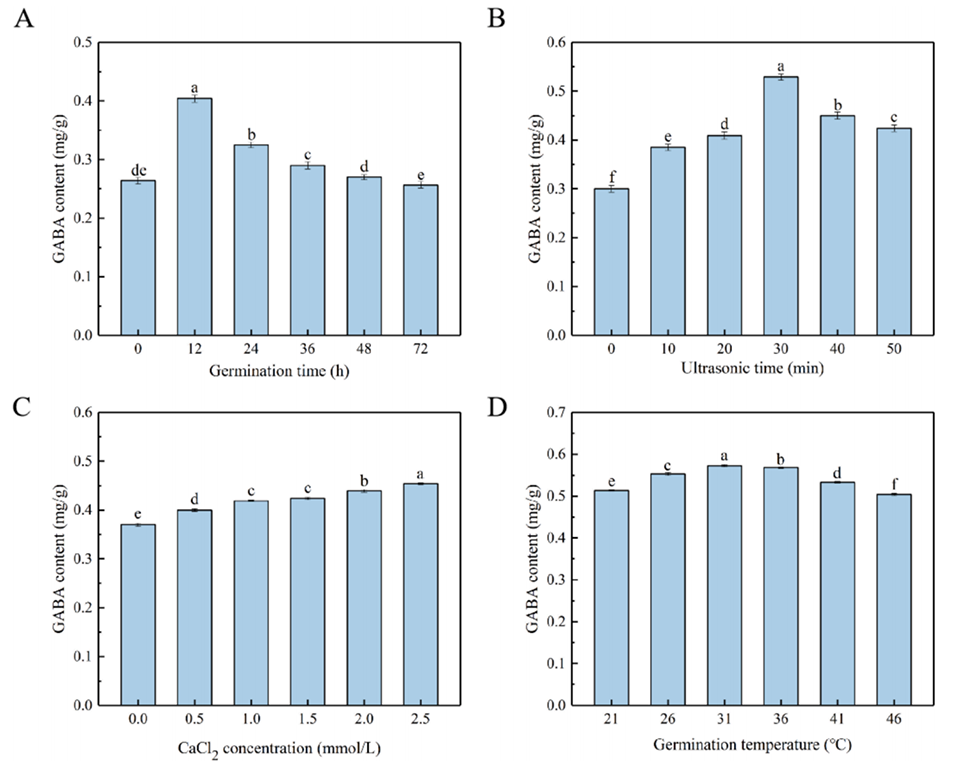
图1超声波和盐胁迫辅助下发芽菜豆GABA富集含量的优化。

图2四种双乳液的微观结构图。

图3四种乳液的物理化学性质。

图4不同亲水性乳化剂稳定的W/O/W的表观粘度。

图5四种双乳液的储存稳定性。

图6 GABA和槲皮素的体外消化和释放及其功能活性。
论文链接:https://doi.org/10.1016/j.molliq.2025.127221
Previous: 嘉兴二医陈刚&罗欢欢等人:金属离子交联水凝胶微球,免疫调节与软骨修复“双效合一”
Next: 密闭空间感染难解决?纳米酶壳微胶囊来“破局”!






