壳聚糖因具备生物相容性、生物可降解性、无毒性及黏膜黏附性等独特性能,成为各类制药应用的理想选择,且可加工成膜、凝胶、纳米颗粒等多种形态,应用潜力显著。其作为甲壳素脱乙酰化产物,是自然界中含量仅次于纤维素的多糖,来源相对广泛。
目前,已开发出多种制备壳聚糖纳米颗粒的方法,例如离子凝胶法、自组装法和纳米沉淀法等。在众多制备方法中,基于“乌佐效应(Ouzo effect)”的纳米沉淀法可在无需乳化剂的条件下,通过自发相分离形成单分散纳米颗粒。然而,传统批次法难以精确控制混合过程,导致颗粒尺寸不均。微流控技术凭借其优异的传质控制和过程精确性,为制备单分散、尺寸可控的壳聚糖纳米颗粒提供了理想平台。

近期,有研究人员成功利用三入口一出口构型的X型微反应器,通过乌佐效应(Ouzo effect)制备出尺寸可控的壳聚糖纳米颗粒。系统探究了流速与壳聚糖浓度对流体动力学行为及纳米颗粒尺寸分布的影响规律。相关研究以“Microfluidic production of chitosan nanoparticles via Ouzo effect”为题发表于期刊《Chemical Engineering Journal》。
本文要点:
1、本研究在三入口一出口X型微反应器中,通过乌佐效应制备壳聚糖纳米颗粒:溶剂相,即乙酸、乙酸钠和壳聚糖的水溶液,从中央入口通道进入,而反溶剂溶液,即乙酸钠的水溶液,从两侧入口流入。
2、研究两种壳聚糖浓度及流速对流体动力学与颗粒粒径分布的影响,发现低流速下呈流动聚焦态(溶剂相被限制在中心),流速升高则过渡至涡流态(其标志是出现两对反向旋转涡流),且壳聚糖浓度越高,该转变所需流速越大。
3、动态光散射和场发射枪扫描电镜表征结合数值模拟证实:流动聚焦态生成更小的单分散纳米颗粒,涡流态则产生更大的多分散颗粒。

什么是乌佐效应?
乌佐效应(Ouzo effect) 是一种基于三元体系自发相分离的物理现象,指将一种疏水性溶质溶于与水混溶的有机溶剂中后,通过加入大量水(反溶剂),使体系迅速进入热力学亚稳态区(metastable zone),从而引发均相成核(homogeneous nucleation),自发形成单分散性良好的纳米乳液或纳米颗粒的过程。
其核心机制在于体系组成越过相图中的双节线(binodal curve),进入位于双节线与旋节线(spinodal curve) 之间的亚稳态区域。在此区域内,由于局部浓度波动,体系通过克服成核能垒自发分离出富溶质的纳米液滴,而无需借助外加乳化剂或机械剪切作用。该效应广泛应用于纳米药物递送系统、高分子纳米颗粒及功能性纳米材料的绿色、高效制备。
此过程发生的关键条件在于三元体系的特定组成:
① 溶剂与反溶剂(此处为水)必须完全互溶,以确保能形成均一的初始混合物。
② 溶质不溶于反溶剂,这是发生相分离并析出的根本驱动力。
③ 三者比例需处于特定的 “乌佐区” ,即高反溶剂、低溶剂和低溶质浓度的范围,以确保体系进入亚稳态而非发生立即的、不可控的宏观相分离。

图 1:混合物密度随反溶剂体积分数的变化关系。数据为溶剂中溶解 2.5 g/L 壳聚糖和 5 g/L 壳聚糖时的实验结果。误差线代表 95% 置信水平下的实验变异性。

图 2:混合物黏度随反溶剂体积分数的变化关系。数据为溶剂中溶解 2.5 g/L 壳聚糖和 5 g/L 壳聚糖时的实验结果。误差线代表 95% 置信水平下的实验变异性。

图 3:X 型微反应器结构示意图及参考坐标系。

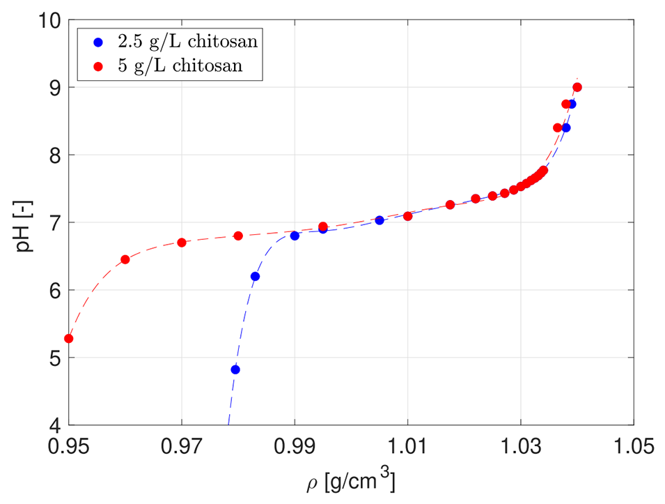
图 4:混合物 pH 值随密度的变化关系。数据为溶剂中溶解 2.5 g/L 壳聚糖和 5 g/L 壳聚糖时的实验结果。

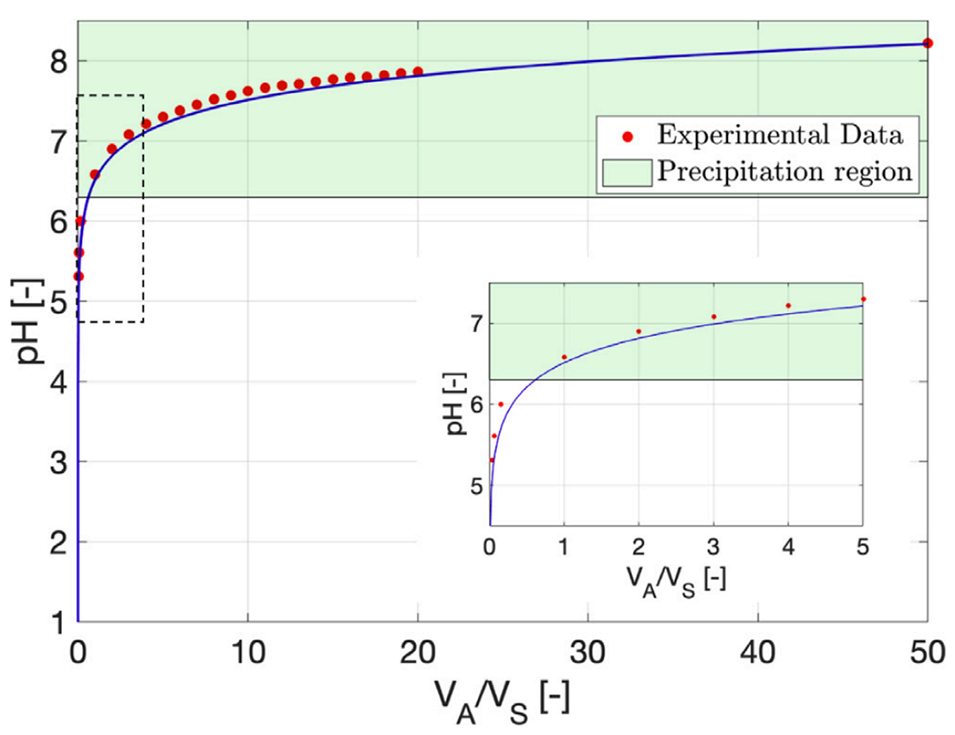
图 5:pH 值随反溶剂与溶剂体积比的变化关系。红色标记为实验数据,蓝色曲线代表亨德森 - 哈塞尔巴尔赫方程(Henderson–Hasselbalch equation),绿色区域标注了壳聚糖可发生纳米沉淀的 pH 范围。

图 6:实验流态随雷诺数(Re)和流量比(R)的变化关系。结果分别对应:(a)溶剂中溶解 2.5 g/L 壳聚糖;(b)溶剂中溶解 5 g/L 壳聚糖。圆圈标注的点为经数值模拟验证的实验案例。

图 7:案例 I-A:(a)溶剂与反溶剂接触区域的实验可视化图像;(b)Z=0 平面处溶剂与反溶剂接触区域的数值模拟可视化结果。(c)数值模拟得到的 λ₂涡量指示器等值面,及不同截面(Y=-1、-2、-3、-5、-7)处反溶剂质量分数的等值线(白色代表反溶剂质量分数为 100%)。(d)Z=0 平面处的 pH 分布。结果为溶剂中溶解 2.5 g/L 壳聚糖、雷诺数 Re=65 时的实验与模拟数据。

图 8:案例 I-B:(a)溶剂与反溶剂接触区域的实验可视化图像;(b)Z=0 截面处溶剂与反溶剂接触区域的数值模拟可视化结果。(c)数值模拟得到的 λ₂涡量指示器等值面,及不同截面(Y=-1、-2、-3、-5、-7)处反溶剂质量分数的等值线(白色代表反溶剂质量分数为 100%)。(d)Z=0 截面处的 pH 分布。结果为溶剂中溶解 5 g/L 壳聚糖、雷诺数 Re=61 时的实验与模拟数据。

图 9:案例 II-A:(a)溶剂与反溶剂接触区域的实验可视化图像;(b)Z=0 平面处溶剂与反溶剂接触区域的数值模拟可视化结果。(c)数值模拟得到的 λ₂涡量指示器等值面,及不同截面(Y=-1、-2、-3、-5、-7)处反溶剂质量分数的等值线(白色代表反溶剂质量分数为 100%)。(d)Z=0 平面处的 pH 分布。结果为溶剂中溶解 2.5 g/L 壳聚糖、雷诺数 Re=136 时的实验与模拟数据。

图 10:案例 III-A:(a)溶剂与反溶剂接触区域的实验可视化图像;(b)Z=0 平面处溶剂与反溶剂接触区域的数值模拟可视化结果。(c)数值模拟得到的 λ₂涡量指示器等值面,及不同截面(Y=-1、-2、-3、-5、-7)处反溶剂质量分数的等值线(白色代表反溶剂质量分数为 100%)。(d)Z=0 平面处的 pH 分布。结果为溶剂中溶解 2.5 g/L 壳聚糖、雷诺数 Re=284 时的实验与模拟数据。

图 11:案例 IV-A:(a)溶剂与反溶剂接触区域的实验可视化图像;(b)Z=0 平面处溶剂与反溶剂接触区域的数值模拟可视化结果。(c)数值模拟得到的 λ₂涡量指示器等值面,及不同截面(Y=-1、-2、-3、-5、-7)处反溶剂质量分数的等值线(白色代表反溶剂质量分数为 100%)。(d)Z=0 平面处的 pH 分布。结果为溶剂中溶解 2.5 g/L 壳聚糖、雷诺数 Re=355 时的实验与模拟数据。

图 12:案例 V-A:(a)溶剂与反溶剂接触区域的实验可视化图像;(b)Z=0 平面处溶剂与反溶剂接触区域的数值模拟可视化结果。(c)数值模拟得到的 λ₂涡量指示器等值面,及不同截面(Y=-1、-2、-3、-5、-7)处反溶剂质量分数的等值线(白色代表反溶剂质量分数为 100%)。(d)Z=0 平面处的 pH 分布。结果为溶剂中溶解 2.5 g/L 壳聚糖、雷诺数 Re=358 时的实验与模拟数据。

图 13:案例 V-B:(a)溶剂与反溶剂接触区域的实验可视化图像;(b)Z=0 平面处溶剂与反溶剂接触区域的数值模拟可视化结果。(c)数值模拟得到的 λ₂涡量指示器等值面,及不同截面(Y=-1、-2、-3、-5、-7)处反溶剂质量分数的等值线(白色代表反溶剂质量分数为 100%)。(d)Z=0 平面处的 pH 分布。结果为溶剂中溶解 5 g/L 壳聚糖、雷诺数 Re=359 时的实验与模拟数据。

图 14:案例 VI-A:(a)溶剂与反溶剂接触区域的实验可视化图像;(b)Z=0 平面处溶剂与反溶剂接触区域的数值模拟可视化结果。(c)数值模拟得到的 λ₂涡量指示器等值面,及不同截面(Y=-1、-2、-3、-5、-7)处反溶剂质量分数的等值线(白色代表反溶剂质量分数为 100%)。(d)Z=0 平面处的 pH 分布。结果为溶剂中溶解 2.5 g/L 壳聚糖、雷诺数 Re=717 时的实验与模拟数据。

图 15:案例 VI-B:(a)溶剂与反溶剂接触区域的实验可视化图像;(b)Z=0 平面处溶剂与反溶剂接触区域的数值模拟可视化结果。(c)数值模拟得到的 λ₂涡量指示器等值面,及不同截面(Y=-1、-2、-3、-5、-7)处反溶剂质量分数的等值线(白色代表反溶剂质量分数为 100%)。(d)Z=0 平面处的 pH 分布。结果为溶剂中溶解 5 g/L 壳聚糖、雷诺数 Re=719 时的实验与模拟数据。

图 16:动态光散射(DLS)测量得到的平均颗粒尺寸随流量比(R)的变化关系。误差线代表 10 次测量结果的 2 倍标准差,对应 95% 置信水平。数据为溶剂中溶解 2.5 g/L 壳聚糖时的实验结果。不同标记代表反应器内不同的流态。

图 17:壳聚糖纳米颗粒的场发射枪扫描电子显微镜(FEG-SEM)分析结果。分别对应:(a)案例 I-A(流动聚焦状态);(b)案例 III-A(过渡状态);(c)案例 V-A(涡流状态)。
论文链接:https://doi.org/10.1016/j.cej.2025.159781
(本文仅供参考学习及传递微流控研究成果,版权归原作者所有,如侵犯权益,请联系删除)






