
导读:
水果在采收后容易受到各种病原体的侵袭,因此,开发能够实现广泛抑制不同病原体的多功能保鲜材料是当前的研究热点。近期,浙江大学吴迪教授团队利用微流控吹纺(MBS)技术制备了一种可生物降解的聚己内酯/乙基纤维素(PCL/EC)纳米纤维薄膜,其中加入了两种天然来源的化合物--纳他霉素和反式肉桂酸,从而实现对多种微生物的抑制作用。相关研究以“Fabrication of antimicrobial PCL/EC nanofibrous films containing natamycin and trans-cinnamic acid by microfluidic blow spinning for fruit preservation”为题目,发表在期刊《Food Chemistry》上。
本文要点:
1、本研究利用微流控吹纺(MBS)技术制备了含有纳他霉素和反式肉桂酸的可生物降解聚己内酯/乙基纤维素(PCL/EC)纳米纤维薄膜,用于水果保鲜。
2、该膜具有良好的抗菌活性,能有效抑制大肠杆菌、金黄色葡萄球菌和灰葡萄孢菌,同时具备更细的纤维直径、更高的透气性和抗氧化特性。
3、实验证明,该膜包裹草莓可有效抵抗灰葡萄孢菌的侵袭,且不影响草莓在储存期间的品质。
4、研究表明,这种多重抗菌和生物友好型包装材料在采后水果保鲜中的应用前景广阔。
全文总结/概括:

微流控吹纺技术(MBS)在制备PCL/EC纳米纤维膜中的优势如下:
1、高生产效率:MBS技术能够实现快速连续的纤维生产,与传统的电纺技术相比,显著提高了生产速率。
2、操作安全性:MBS技术不依赖于高电压,从而减少了操作过程中的安全风险,适合于实验室到工业规模的应用。
3、生物材料适用性:由于MBS不涉及高温熔融过程,它更适合于热敏感的生物基材料,有助于保持材料的生物活性和生物相容性。
4、纤维形态控制:MBS技术可以通过调节工艺参数来精确控制纤维的直径和分布,实现均匀一致的纤维形态。
5、高孔隙率和比表面积:制备的纳米纤维膜具有高孔隙率和比表面积,这些特性有助于提高膜的透气性和抗菌性能。
6、环境友好性:MBS技术作为一种绿色制造工艺,有助于减少能源消耗和环境足迹,符合可持续发展的要求。
本研究制备的PCL/EC纳米纤维膜主要通过以下方式实现对草莓的保鲜效果:
1、抗菌成分的协同作用:纳米纤维膜中成功整合了纳他霉素和反式肉桂酸,这两种天然抗菌成分能有效抑制草莓表面微生物的生长,减少腐烂。
2、物理屏障:该膜为草莓提供了一层物理屏障,可防止外部微生物的侵入并减少草莓受到机械损伤的风险,从而延长保鲜期。
3、调节气体交换:由于纳米纤维膜具有高透气性,它可以调节草莓周围的气体交换,减少水分蒸发,同时保持适宜的二氧化碳和氧气水平,有助于维持草莓的新鲜度。
4、抗氧化性能:反式肉桂酸具有抗氧化活性,能够中和自由基,减缓草莓的氧化过程,保持其营养成分和色泽。
5、保持果实品质:研究显示,使用PCL/EC纳米纤维膜的草莓在储存期间其硬度、颜色、pH值和总可溶性固形物等品质指标得到维持,从而延缓了品质的下降。

图1.(A)PCL/EC、(B)PCL/EC/Nata、(C)PCL/EC/tCA和(D)PCL/EC/Nt溶液和MBS薄膜的数码照片。(E)PCL/EC、(F)PCL/EC/Nata、(G)PCL/EC/tCA和(H)PCL/EC/Nt纳米纤维的扫描电镜图像。

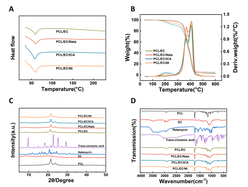
图2.(A)薄膜的DSC图和(B)TGA图;(C)PCL、EC、纳他霉素、反式肉桂酸和薄膜的XRD图和(D)傅立叶变换红外光谱图。

图3.(A)薄膜的WCAs;(B)薄膜的WVT特性。

图4.纳米纤维薄膜对DPPH自由基的抑制作用。

图5.薄膜对(A)大肠杆菌和(B)金黄色葡萄球菌的抗菌效果;(C)各组薄膜的抑菌圈直径;(D)大肠杆菌和金黄色葡萄球菌的细菌细胞形态。

图6.(A)第5天薄膜对灰葡萄孢菌的抑菌圈;(B)第5天各组薄膜的抑菌圈直径;(C)第5天经不同处理的草莓果实的图像。
原文链接:https://doi.org/10.1016/j.foodchem.2024.138436






