
导读:
近期,瓦格宁根大学农业技术和食品科学系的研究人员通过设计不同核心和壳层尺寸及组成的油核-海藻酸钙外壳微珠,探究其在模拟胃肠道消化条件下的脂质消化行为,发现可通过调节核心尺寸、添加蜡类材料以及改变壳层交联密度和厚度等方式,有效控制脂质消化的速度和开始时间,为开发具有控食效果的功能性食品提供了理论依据。相关研究以“Controlled digestion of lipids from oil-laden core-shell beads with tunable core and shell design”为题目,发表在期刊《Food Hydrocolloids》上。
本文要点:
1、本研究通过空气微流控技术设计并制备了具有不同尺寸(如油核尺寸和海藻酸钙水凝胶壳厚度)与成分(如在油核中添加蜡,在壳中添加壳聚糖和戊二醛)的均匀核壳微球,以实现对脂质消化的精准调控。
2、研究采用标准化的INFOGEST体外消化模型,评估了这些微球在模拟口腔、胃及肠道条件下的脂解动力学。
3、结果显示,核壳微球在胃肠道环境中表现出显著特性:水凝胶壳体膨胀并保持完整,同时脂质核随着消化而逐渐减少。
4、实验发现,脂解速率与总脂质的表面积呈线性关系,而壳层膨胀延长了脂肪酶扩散到核心表面的路径,从而显著延迟了脂质消化的开始时间。
5、通过调整核壳微球的尺寸和组成成分,可以更有效地调控脂解行为。本研究为功能性食品的开发提供了创新思路,展示了通过精准设计微球以控制脂质释放和吸收的潜力。
核-壳结构通过控制核心尺寸、油剂量以及壳层厚度和成分的变化来调控脂质消化。该技术的优势主要体现在以下几个方面:
1、延迟脂质消化的开始时间:
壳层在胃和肠初始阶段的膨胀增加了脂肪酶扩散到核心表面的路径长度,从而将脂质消化的开始时间延迟至最长60分钟。
壳层交联(例如加入壳聚糖或戊二醛)进一步提高了扩散阻力,显著减少消化率。
2、控制脂质消化速率:
核心尺寸和油剂量决定了核心的总表面积,而脂解速率与总表面积呈线性关系,这使得微流控系统可以通过设计核心大小来细化调控。
添加如蜡类物质到核心中,可形成不易被消化的凝胶网络,进一步降低脂质释放速率。
3、单滴精确分析:
通过透明的壳层和高度均一的核心设计,实现了对脂质消化的单滴级精准可视化和量化分析。
这种精准、可调节的结构设计,为功能性食品的开发,例如控制饱腹感和减少食物摄取,提供了技术可能性。
受控脂解在功能性食品中的潜在应用主要体现在以下几个方面:
1、控制能量释放与饱腹感
通过调节脂质消化速率,可以实现能量的缓释,从而延长饱腹感。这对于体重管理或减肥食品具有重要意义,例如利用核心-壳层结构的脂质胶囊减少脂质消化速率,从而降低食物摄入量。
2、优化脂溶性营养素的吸收
受控脂解技术可以提高脂溶性营养素(如维生素A、D、E、K和ω-3脂肪酸)的生物利用度,确保这些营养素在胃肠道的特定部位释放并被有效吸收。
3、靶向释放功能性成分
核心-壳层结构可以实现脂质或其他活性成分在胃肠道特定部位的靶向释放,例如在小肠中释放以促进吸收。这种技术在药物递送和功能性食品中具有广泛应用潜力。
4、改善食品加工稳定性
通过核心-壳层设计的脂质胶囊可以提高食品在加工过程中的热稳定性,例如在巴氏杀菌等高温处理下保持结构稳定,从而适用于工业化食品生产。
5、开发个性化营养食品
通过调整核心-壳层的尺寸、厚度和组成,可以根据不同人群(如老年人、运动员或慢性病患者)的需求,设计满足特定健康目标的个性化功能性食品。
这些应用展示了受控脂解技术在功能性食品领域的广阔前景,能够满足消费者对健康、营养和个性化饮食的需求。

图1展示了空气微流体喷射系统的示意图(a)以及实际实验的显微图像,显示了复合射流(b)和复合射流与交联剂射流的融合(c)。图中展示了微流体技术的原理,通过振动同轴喷嘴产生复合射流,并通过交联剂射流进行封装,形成核-壳结构的微珠。

图2展示了核壳微珠在胃和肠消化条件下的显微观察图像。这些图像记录了在选定时间点(G:胃,I:肠)微珠的变化。图中显示,随着肠消化的进行,核心体积逐渐减小,表明脂质被水解。此外,当脂质消化接近完成时,核心表面出现褶皱,这可能是由于不溶性反应产物(如游离脂肪酸的钙皂或胆盐)的吸附。

图3展示了核心直径(a)和外壳厚度(b)随消化时间的变化。图中显示,在胃和肠消化过程中,外壳厚度增加,而核心直径逐渐减小。外壳的膨胀可能是由于消化液中钙离子浓度的降低导致的离子交换,而核心直径的减小则是由于脂质的水解。

图4比较了核心体积减少(粉色填充圆圈)和游离脂肪酸(FFA)释放(粉色线)随肠消化时间的变化。图中显示,经过校正空白测量后(粉色虚线),核心体积减少与FFA释放之间达到了很好的一致性,这证明了两种方法在定量脂质消化方面的互补性。

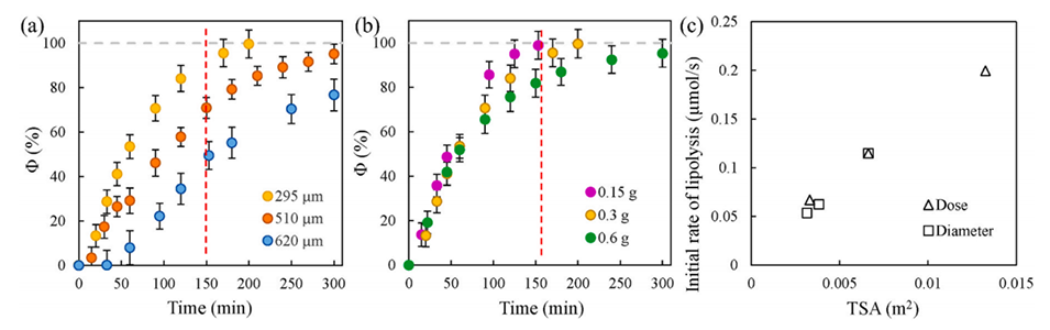
图5展示了核心体积减少随肠消化时间的变化,分别针对不同的核心直径(a)和油剂量(b)。图中显示,较小的核心直径和较低的油剂量会导致更快的脂质水解速率。此外,图c展示了初始脂解速率与总表面积(TSA)之间的关系,表明脂解速率与TSA成正比。

图6外壳膨胀行为和核心体积减少的示意图。图中展示了外壳在胃和肠消化过程中的膨胀,以及核心体积的减少。外壳的膨胀增加了脂酶扩散到核心表面的路径长度,从而延迟了脂质水解的开始。

图7比较了经过不同改性处理的核-壳微珠(如添加壳聚糖、戊二醛或蜂蜡)与未改性微珠(如ALG-620cores和ALG-510cores)在肠消化过程中的脂质消化行为。图中显示,通过改变外壳(如添加壳聚糖或戊二醛)或核心(如添加蜂蜡)的组成,可以显著调节脂质水解的行为。例如,添加戊二醛或蜂蜡会显著延迟和抑制脂质水解。
论文链接:https://doi.org/10.1016/j.foodhyd.2024.111024






