
导读:
近期,有研究人员提出通过微胶囊技术将干酪乳酸菌(L.casei)封装在含有木薯粉的海藻酸微球中,并用透明质酸、壳聚糖或明胶涂层,旨在提高益生菌的存活率和功能性。相关研究以“Effect of Encapsulation of Lactobacillus casei in Alginate–Tapioca Flour Microspheres Coated with Different Biopolymers on the Viability of Probiotic Bacteria”为题,发表在期刊《ACS Applied Materials & Interfaces》上。
本文要点:
1、本研究将干酪乳酸菌(L.casei)封装在含有木薯粉作为益生元成分的海藻酸微球中,并进一步涂覆透明质酸、壳聚糖或明胶等不同生物聚合物,旨在通过微胶囊技术提高益生菌的存活率和功能性。
2、通过实验设计优化微球的组成,并分析其物理化学性质及储存期间的益生菌活性。
3、分析了所获得微球的尺寸、形态和横截面,以及生物聚合物涂层微球的有效性。采用傅里叶变换红外光谱法对微球的化学结构进行了表征,通过拉曼光谱确认生物聚合物的成功涂覆。
4、结果表明,木薯粉的添加对微球的表面改性具有积极作用,使海藻酸盐微粒的多孔结构变得更小、更密封。
5、透明质酸和壳聚糖涂层显著提高了益生菌在长期储存过程中的存活率和活性。其中,透明质酸涂层的海藻酸盐-木薯粉微球在储存30天后,L.casei的存活率最高,达到89%。
将干酪乳杆菌(L.casei)包埋在微球中的好处主要包括以下几点:
1、提高存活率:微胶囊技术能够有效保护益生菌在不利环境下的存活,尤其是在加工和储存过程中。研究表明,包埋后的L.casei在储存30天后仍能保持高达89%的存活率。
2、改善功能性:通过将L.casei与木薯粉等益生元结合,微球不仅能提供营养支持,还能增强益生菌的生存能力,促进其在肠道中的活性。
3、增强稳定性:涂层材料(如透明质酸、壳聚糖和明胶)能够进一步增强微球的结构稳定性,防止益生菌在储存和使用过程中的流失。
4、适应性强:微球的设计使其能够在不同的食品和化妆品中应用,提供了更广泛的使用可能性,尤其是在针对皮肤问题的产品中。
5、控制释放:微胶囊化可以实现益生菌的缓释,确保其在特定条件下逐步释放,从而提高其生物利用度和效果。
综上所述,将L.casei包埋在微球中不仅能提高其存活率和稳定性,还能增强其功能性,适应多种应用场景。
木薯粉在微球中作为益生元,能够促进干酪乳酸菌(L.casei)的生长和存活,同时改善微球的结构,使其更密封,从而提高益生菌在不利条件下的存活率。木薯粉浓度对干酪乳杆菌生长的具体影响如下:
在本研究中,不同浓度的木薯粉对Lactobacillus casei(L.casei)菌株的生长产生了显著影响。实验结果表明,当木薯粉的浓度为1%和2%时,L.casei的生长最为旺盛,活菌计数分别达到14.39和15.79 log CFU/mL,明显高于对照组(无木薯粉的培养基,活菌计数为10.6 log CFU/mL)。
然而,随着木薯粉浓度的增加,培养基的pH值下降,且在浓度超过2%时,L.casei的生长速率减缓,这可能与培养基的粘度增加有关。因此,适量的木薯粉能够促进L.casei的生长,但过高的浓度则可能对其生长产生抑制作用。

图1.含有不同浓度木薯粉的样品的干酪乳杆菌活菌计数(log CFU/mL)和pH值(误差条表示相关数据的SD)*p=0.05-0.011;**p≤0.01;***p≤0.001;****p≤0.0001。

图2.帕累托图显示了独立参数对以下方面的影响:(a)粘度(Pa s),(b)尺寸(μm),(c)24小时后的包封效率(EE)(log CFU/g),以及(d)7天后的存活率(log CFU/g)。

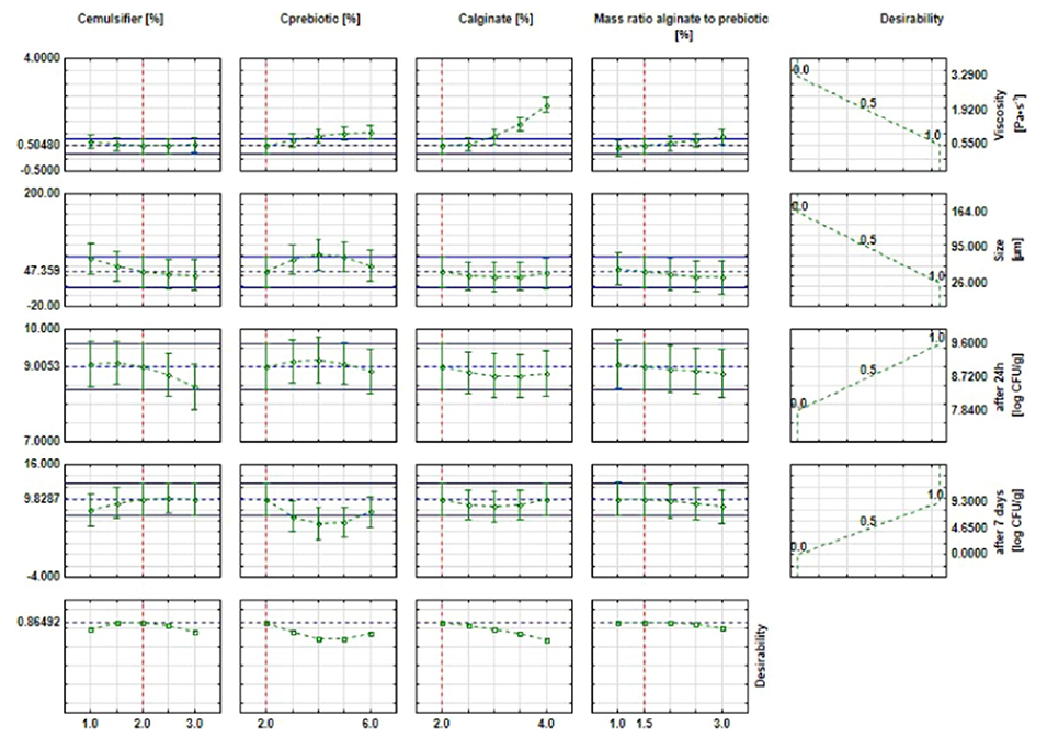
图3.近似曲线显示独立参数对粘度[Pa•s]、尺寸[μm]、24小时后的包封效率[log CFU/g]和7天后的存活率[log CFU/g]的影响。

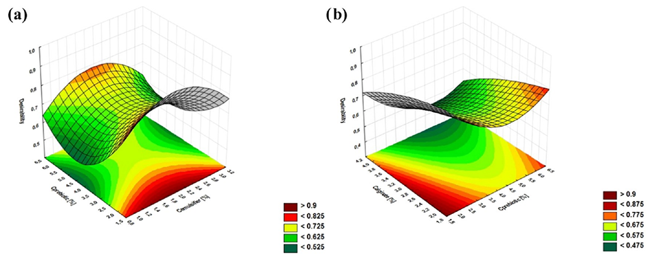
图4.关于(a)乳化剂和益生元浓度以及(b)海藻酸盐和益生素浓度的期望值的响应面图。

图5.冷冻干燥前含有干酪乳杆菌益生菌的海藻酸盐-益生元微球,(a)微球结构,(b)包裹干酪乳杆菌的微球。

图6.冻干(a)藻酸盐微球(参考样品)和(b)藻酸盐-木薯粉微球横截面的SEM显微照片。

图7.冷冻干燥的(a)包封干酪乳杆菌的海藻酸盐微球和(b)包封干酪乳杆菌的海藻酸盐-木薯粉微球结构的SEM显微照片。

图8.普通海藻酸钠、普通木薯粉(益生元来源)和含有干酪乳杆菌的海藻酸盐-益生元微球的傅里叶变换红外光谱。

图9.透明质酸、壳聚糖和明胶标准品的平均光谱与未涂层微球的平均光谱的比较。特征带标记在标准光谱上。

图10.选定的透明质酸涂层微球的拉曼映射结果。

图11.选定的壳聚糖涂层微球的拉曼映射结果。

图12.选定的明胶涂层微球的拉曼映射结果。

图13.在室温下储存30天期间,比较海藻酸盐微球(参考样品)、海藻酸盐-益生元微球(AMPs)以及壳聚糖、明胶和透明质酸涂层AMPs中包封的干酪乳杆菌的存活率。*p=0.05-0.011;**p≤0.01;***p≤0.001;****p≤0.0001。

图14.在室温下储存30天期间,AMs、AMPs、壳聚糖涂层AMPs、明胶涂层AMPs和透明质酸涂层AMPs中干酪乳酸菌的存活率。
论文链接:https://doi.org/10.1021/acsami.4c10187






