研究背景:
镁离子(Mg2+)是人体中第四丰富的阳离子,也是细胞内第二丰富的阳离子,参与了300多种酶促反应。它对蛋白质和核酸的合成、细胞代谢以及心血管和神经肌肉系统的正常功能至关重要。尽管Mg2+在人体生理过程中扮演着如此重要的角色,但在临床实践和医学文献中,它并没有得到应有的重视,常规的实验室检测通常不包括血清Mg2+浓度的测定。
低镁血症(血液中镁离子水平低于0.75mmol/L)会导致震颤、抑郁、脑病、癫痫、心律失常和心电图变化等症状,并与重症监护病房患者的高死亡率和延长住院时间相关。由于体内大部分镁离子储存在肌肉、软组织和骨骼中,血清中仅含有0.3%的镁离子,导致检测体内镁离子水平面临挑战。传统的检测方法,如24小时尿镁排出量测定或镁负荷试验,虽然能够提供一定的信息,但过程复杂且耗时。
为了克服这些挑战,研究人员探索了多种分析方法和传感器技术,包括高效液相色谱(HPLC)、电化学传感器、光学传感器、比色和荧光化学传感器。电化学传感器因其高重现性、选择性、灵敏度和成本效益,在分析化学中发挥着关键作用。这类传感器和电极的多功能性,有助于检测从离子到有机分子的各种分析物,为临床诊断和生物分析提供了有力的工具。

导读:
近期,华盛顿州立大学化学系的研究人员设计并制造了一种3D打印Mg2+电位传感器,将其集成到3D打印微流体装置中,用于定量低样本量生物液体中的Mg2+。相关研究以“Integration of 3D Printed Mg2+ Potentiometric Sensors into Microfluidic Devices for Bioanalysis”为题目,发表在期刊《Lab on a Chip》上。
本文要点:
1、本研究开发了一种3D打印Mg2+电位传感器,并将其集成到微流控设备中,用于低样本体积生物流体中Mg2+的定量。
2、该传感器采用一种功能化的3D打印光固化甲基丙烯酸酯基离子选择性膜,固定在碳网/环氧树脂固体接触传感器上,以选择性测定汗液、唾液和尿液中的Mg2+。
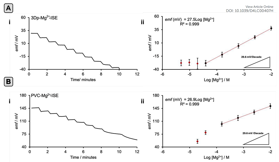
3、3D打印的Mg2+离子选择性电极(3Dp-Mg2+-ISE)提供了27.5mV/decade的能斯特响应,线性范围为10mM至39μM,涵盖了生物流体中Mg2+的正常生理和临床相关水平。
5、3Dp-Mg2+-ISEs可选择性地测量Mg2+,而非生物中存在的其他阳离子(钠、钾、钙、铵),而且分析信号稳定性高,10小时内漂移仅为13μV/hr。
6、与基于聚氯乙烯的Mg2+-ISEs相比,3Dp-Mg2+-ISEs在稳定性、抗生物污染方面具有明显优势,更重要的是,它为大规模生产选择性可靠的传感器提供了一种简便、快速的方法。
全文总结/概括:

使用3D打印的Mg2+离子选择性电极与传统的基于聚氯乙烯(PVC)的电极相比,具有以下优势:
1、稳定性提升:3D打印的Mg2+电极在长时间内显示出更好的电位稳定性,漂移极小,这对于连续监测Mg2+水平至关重要。
2、抗生物污染能力更强:3D打印的电极在接触汗液、唾液和尿液等生物流体后,能够保持较好的性能,而PVC基电极可能会因生物污染导致响应偏移。
3、更宽的线性检测范围:3D打印的Mg2+电极提供了一个更宽的线性范围,覆盖生物流体中Mg2+的正常生理和临床相关水平,从而提高检测的准确性和可靠性。
4、制造效率提升:与制备PVC基ISE的传统滴铸方法相比,3D打印技术实现了快速原型制造和定制化设计,简化了生产流程,提高了制造速度,并确保了产品的精确度。
5、易于集成到微流控设备:3D打印的电极可以方便地集成到3D打印的微流控设备中,有助于实现小样本体积的分析和多重检测的自动化。
6、成本效益优化:通过减少材料浪费和快速调整设计,3D打印技术有助于降低制造成本,同时满足多样化的应用需求。
7、改善的亲水性:3D打印的离子选择性膜相比PVC基膜具有更低的亲水性,这有助于减少生物污染,提高电极的耐用性和可靠性。

图1.3Dp-Mg2+-ISE集成到微流控装置中的示意图。

图2.Ai.3Dp-Mg2+-ISE对1:1稀释的10mM Mg2+溶液的电动势响应时间序列。Aii.3Dp-Mg2+-ISE对Mg2+的响应在10mM-39μM浓度范围内呈线性,斜率为27.5mV/decade。Bi.PVC-Mg2+-ISE对1:1稀释的10mM Mg2+溶液的电动势响应时间序列数据。Bii.PVC-Mg2+-ISE对Mg2+的响应在10mM-156μM浓度范围内呈线性,斜率为26.9mV/decade。误差条代表三个独立Mg2+-ISE的标准偏差。

图3.选择性分析显示了1.0mM K+、Na+、NH4+、Ca2+、Ach+和Mg2+的电动势读数与时间的关系。A.3Dp-Mg2+-ISE的电动势响应。B.PVC-Mg2+-ISE的电动势响应。

图4.A.PVC-Mg2+-ISE(红色迹线)和3Dp-Mg2+-ISE(黑色迹线)在1mM Mg2+中的电动势响应,监测时间跨度为10小时。B.将3Dp-Mg2+-ISE在1mM Mg2+中浸泡3小时,然后在1mM KCl中浸泡3小时,再回到1mM Mg2+中浸泡3小时的水层测试归一化结果。

图5.评估暴露于生物液体后3Dp-Mg2+-ISEs和PVC-Mg2+-ISEs的性能。A.3Dp-Mg2+-ISEs的校准曲线。B.PVC-Mg2+-ISEs的校准曲线。

图6.在A.汗液、B.唾液和C.尿液中进行的稳定性实验在30分钟内的归一化响应。
原文链接:https://doi.org/10.1039/D4LC00407H
Previous: 一图读懂综述:微流控技术在生物医用纳米材料合成中的应用进展






