荧光微球作为生物传感技术的关键材料,广泛应用于血流监测、活体成像及流式细胞仪校准等领域。传统体系依赖有机染料与聚合物的复合结构,虽能缓解光漂白问题,但仍受限于染料的光降解和光谱不可调等问题。近年来,水溶性AgInS2/ZnS量子点因其低毒性、高光稳定性及可调谐光学特性成为理想荧光材料。通过将其嵌入聚合物微球中,不仅可增强生物相容性,还能利用微球的光学腔效应(如Purcell效应)调控量子点发光动力学。然而,现有方法在实现微球尺寸均一性与量子点可控分散方面仍面临挑战。

近期,有研究人员提出一种基于微流控滴注技术的制备策略,通过精准流体控制实现量子点掺杂聚合物微球的可控制备,并探究其光学特性与传感潜力,为高性能生物传感器的开发提供新思路。相关研究以“Microfluidics-Driven Dripping Technique for Fabricating Polymer Microspheres Doped with AgInS2/ZnS Quantum Dots”为题发表于期刊《ACS Omega》。
本文要点:
1、本研究提出一种新型微流控滴注技术,用于制备掺杂AgInS2/ZnS量子点(QDs)的荧光可生物降解聚合物微球。
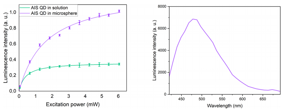
2、对其光谱的分析表明,分散在水中的量子点的发射随着泵浦强度的增加而饱和,而嵌入聚合物微球中的量子点则表现出更持续的发射。
3、此外,本研究还揭示了嵌入微球中的量子点的发光寿命显着缩短:溶液中量子点的衰减时间平均值为 91 ns,而嵌入聚合物微球中的量子点的衰减时间平均值为 3.5 ns。
4、该技术通过调控微流控参数,可定制微球直径,为生物医学领域(如活体成像、流式细胞仪校准、药物递送等)提供了新型荧光材料。
本研究提出了一种基于微流控滴注技术的可控方法制备掺杂AgInS2/ZnS量子点的聚合物微球,具体方法如下:
1、微流控装置制造
使用SU-8 2025光刻胶和铬掩膜通过接触式光刻制作单层硅模具。
将PDMS预聚物与固化剂按10:1质量比混合、脱气后倒入模具,在65℃固化2-4小时。
通过氧等离子体或电晕等离子体处理将PDMS复制件与载玻片键合,形成微流控通道。
2、连续相与分散相的配制
连续相(油相):矿物油中添加3-3.5%非离子表面活性剂ABIL EM 180及15 μL/mL四甲基乙二胺(TEMED,聚合催化剂)。
分散相(水相):含去离子水(635 μL)、30%丙烯酰胺/双丙烯酰胺溶液(335 μL,29:1)、10%过硫酸铵溶液(30 μL)及浓缩量子点溶液(40 μL/mL),混合均匀。
3、液滴生成与尺寸控制
通过微流控压力控制器(MFPC)注入两相溶液,利用流动聚焦技术生成“油包水”液滴。
调节流速或压力控制微球直径(55-95 μm,平均72 μm),变异系数CV=19.78%,属多分散体系(CV≥10%为多分散)。
4、原位聚合
液滴生成后,过硫酸铵引发丙烯酰胺单体聚合,在油相中形成固态量子点掺杂聚合物微球。
5、性能验证
粒径分布:直方图分析显示微球平均直径72 μm(范围55-95 μm),CV=19.78%。
光学特性:量子点在微球中的发射峰位于625 nm(溶液为同峰),但聚合物自身在485 nm处有微弱发光(未显著干扰信号)。量子点发光寿命从溶液的91 ns显著缩短至微球的3.5 ns,可能与微球中Purcell效应(光学腔耦合)有关。
在微流控制备过程中,提升微球单分散性(降低CV值)可通过以下策略实现:
1、精确控制流速与压力
优化压力控制器:采用高精度微流控压力控制器(如原文提到的MFPC),减少流速波动。通过校准压力传感器和优化控制算法,确保分散相与连续相的流速稳定。
调整流速比:通过实验确定分散相与连续相的最佳流速比(如文献中通过调节压力实现直径控制),避免流速不匹配导致的液滴尺寸偏差。
2、优化微通道设计
流动聚焦结构改进:缩小喷嘴尺寸或调整通道收缩段的几何形状(如宽度、曲率),增强剪切力均匀性,促进单分散液滴生成。
减少通道粗糙度:通过光刻工艺优化硅模具表面光洁度,降低PDMS通道内壁粗糙度,减少流动扰动。
3、调整表面活性剂体系
浓度优化:在连续相中调整ABIL EM 180表面活性剂浓度(如从3%提高至4%),增强液滴界面稳定性,防止融合或破裂。
动态界面调控:引入两亲性分子(如Pluronic系列)或复合表面活性剂,进一步降低界面张力,提升液滴生成一致性。
4、分散相配方优化
粘度调控:调整丙烯酰胺单体浓度或添加粘度调节剂(如甘油),使分散相粘度与连续相匹配,改善液滴断裂规律性。
减少量子点聚集:通过超声处理或添加分散剂(如PEG),确保量子点在分散相中均匀分布,避免局部浓度差异导致液滴尺寸波动。
5、环境参数控制
恒温操作:将微流控装置置于恒温环境中(如25℃),减少温度波动对流体粘度和聚合速率的影响。
湿度控制:避免环境湿度过高导致PDMS通道吸水膨胀,影响通道几何稳定性。
6、实时监测与反馈
集成高速成像系统:通过高速摄像头实时观测液滴生成过程,结合图像分析算法(如测量液滴直径分布),动态反馈调节压力或流速。
闭环控制系统:将监测数据输入反馈控制器,自动调整压力或流速参数,维持CV值<10%。
7、后处理工艺优化
聚合条件均一化:确保液滴在油相中聚合时温度、氧气浓度等条件一致,减少因聚合速率差异导致的微球变形。
温和离心分离:采用低速离心(如1000 rpm)分离微球,避免高速离心引起的机械应力导致尺寸分布展宽。

图1.用于形成含量子点的丙烯酰胺微球的实验装置示意图。液体通过先前开发的开源微流控压力控制器引入装置。图中展示了流动聚焦液滴发生器结构,连续相(矿物油)与分散相(含量子点的丙烯酰胺溶液)通过压力控制器调控压力比生成液滴。

图2.(a)通过动态光散射(DLS)分析获得的AgInS2/ZnS核壳量子点的尺寸分布;量子点的平均尺寸为7.8±0.5nm。(b)AIS QDs在水中的光密度(左轴)和发光(右轴)光谱。

图3.(a)通过共聚焦显微镜获得的掺杂AIS量子点的微球的亮场和(b)荧光图像。圆圈表示收集发光信号并求平均值的区域。(c)AIS QD微球的光密度(左轴)和发光(右轴)光谱。(d)微球:粒度分布直方图。

图4.(a)AIS QD溶液和掺杂AIS量子点的单个微球的发光强度与激发功率的关系。(b)未掺杂聚合物微球的发光光谱。

图5.(a,b)水中的AIS QDs、(c,d)聚合物薄膜中的AIS QDs和(e,f)微球中的AIS QDs的荧光寿命成像显微镜(FLIM)图像和发光衰减曲线及其近似值;图像的颜色对应于发光的衰减时间,亮度对应于强度。
论文链接:https://doi.org/10.1021/acsomega.4c07270






