
导读:
近期,北京工业大学刘赵淼教授、申峰副教授团队提出了一种通过在微流控芯片中插入玻璃毛细管来生成液滴的简易方法,研究了毛细管参数和两相流速比对液滴尺寸及生成频率的影响,并揭示了液滴形成的动态过程及力学机制,为可调液滴生成功能的实现提供了理论指导和应用参考。相关研究以“Easy Generation of Droplets in a Capillary Inserted Microchannel”为题目发表于期刊《Industrial & Engineering Chemistry Research》。
本文要点:
1、提出了一种通过在微流控芯片中插入玻璃毛细管来生成液滴的简易方法。研究了毛细管插入深度(0、60和120μm)、毛细管内径(50、75和100μm)以及两相流速比(2-12)对生成液滴长度的影响。
2、液滴生成经历了头部形成、头部填充和颈部断裂三个阶段,识别出三种颈部断裂模式:挤压、过渡和滴落模式,并分析了作用于液滴的力。
3、结果表明,所提出的基于毛细管的方法可以在宽范围的两相流速比下促进微流控芯片中液滴的生成,为相关应用提供了理论指导和参考。
通过调整毛细管插入深度(h)和两相流速比(e),可以有效控制液滴的尺寸和生成频率,其具体影响机制如下:
1、毛细管插入深度(h)的影响:
液滴尺寸:
毛细管插入深度(h)决定了分散相液体与连续相液体的接触位置和界面形态。随着插入深度的增加(如从0μm到120μm),分散相液体在毛细管出口处的界面更深入连续相流体中,受连续相剪切力的作用更强,从而导致液滴尺寸减小。
插入深度较浅(h=0μm):液滴生成位置靠近微通道壁面,剪切力较弱,液滴尺寸较大。
插入深度较深(h=120μm):液滴生成位置远离壁面,连续相流体的剪切力增强,液滴尺寸减小且更加均匀。
生成频率:
插入深度的增加会加速液滴的生成过程。较深的插入深度使分散相液体更快地被连续相剪切并分离,从而提高液滴生成频率。
2、两相流速比(e=QC/QD)的影响:
液滴尺寸:
两相流速比(e)是连续相流速(QC)与分散相流速(QD)的比值。
当流速比增加(e增大)时,连续相流体的剪切力增强,分散相液体在界面处更容易被拉伸和分离,液滴尺寸减小。
当流速比较低(e较小)时,连续相流体的剪切力较弱,分散相液体在界面处的颈部不易断裂,液滴尺寸较大。
生成频率:
较高的流速比(e增大)会加快液滴的生成频率,因为连续相流体的高速流动能够更快地拉断分散相液体的颈部,形成液滴。反之,较低的流速比会降低生成频率。
3、两者的协同作用:
毛细管插入深度(h)和两相流速比(e)共同影响液滴的生成过程。较大的插入深度(h)和较高的流速比(e)会显著减小液滴尺寸并提高生成频率。
实验结果表明,在插入深度为120μm、流速比为8的条件下,可以生成尺寸均匀、单分散性良好的液滴。
相比传统固定结构的微通道液滴生成方法,毛细管插入方法有哪些优势?
1、灵活性高:毛细管插入方法能够在现有的微流控芯片中灵活添加液滴生成功能,无需重新设计或制造芯片。
毛细管可以插入微通道的任意位置,并通过调整插入深度实现液滴尺寸和生成频率的调控,适用于多功能芯片或复杂微通道结构。
2、三维生成:液滴在三维空间中生成,减少了微通道壁面对液滴界面的影响,提高了液滴生成的稳定性,特别是在长时间实验中表现出更好的可靠性。
3、适用范围广:该方法适用于宽范围的两相流速比(e=2-12),能够生成尺寸均匀、单分散性良好的液滴,满足不同领域(如药物开发、高通量筛选、生物医学分析)的需求。
4、实验简单:仅需在微通道上打孔并插入毛细管即可实现液滴生成,无需复杂的辅助设备,降低了实验成本和操作难度。
5、可扩展性:该方法为后续研究提供了理论指导和实验参考,未来可以结合自动化装置(如电动调节系统)进一步提升液滴生成的精确性和效率。

图1.微流控芯片和实验装置:(a)微通道示意图;(b)带有垂直插入的玻璃毛细管的微流控芯片的快照;(c)实验系统;以及(d)从侧视图(y轴)和底视图(z轴)观察到的液滴生成的快照。

图2.不同连续相流速下,h=120μm和QD=50μL/min时产生的液滴阵列快照:(a)QC=100μL/min;(b)QC=200μL/min;(c)QC=300μL/min;(d)QC=400μL/min;(e)QC=500μL/min;和(f)QC=600μL/min。

图3.当QD=50μL/min时,两相流速比(e)和毛细管插入深度(h)对(a)液滴长度和(b)生成频率的影响。插图显示了h=120μm和e=8时的直径分布。

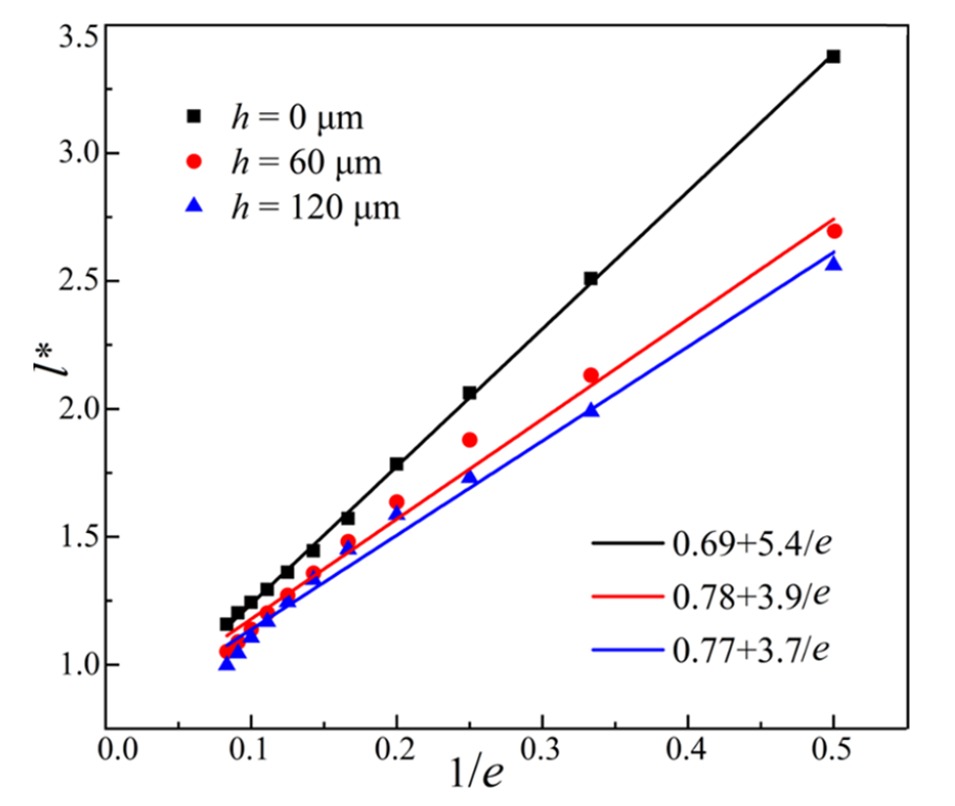
图4.不同两相流量比(1/e)下无量纲液滴长度(l*)的拟合曲线。

图5.(a)毛细管内径对液滴长度的影响。(b)无量纲液滴长度的实验数据和计算数据之间的比较(h=120μm和D=360μm)。

图6.(a)成形液滴的界面形态。(b)当d=50、h=120μm和e=12时,头部形成、头部填充和颈部破裂阶段,液滴尾部、颈部和头部的宽度变化。

图7.液滴生成过程中(h=120μm,QD=50μL/min)两相界面动态演变的三种模式:(a)挤压模式(d=100μm,QC=150μL/min),(b)过渡模式(d=50μm,QC=300μL/min)和(c)滴落模式(d=50μm,QC=600μL/min)。

图8.基于流量比(e)和毛细管内径(d)的液滴生成模式的相图。

图9.施加在液滴界面上的力的示意图。颈部在流动剪切力(Fτ)、液滴上连续相的压降(P1-P2)、界面张力(Fγ)、两相流体的压力和毛细管尖端对尾部的力(Fcapillary)的共同作用下拉伸和断裂。左上角插图显示了在头部填充阶段作用在液滴上的力。右下角插图显示了收缩阶段颈部所受的力。
论文链接:
https://doi.org/10.1021/acs.iecr.3c03403






