基于微流控技术的微滴制备在化学合成、生物分析和药物开发等领域具有重要的应用价值。为了克服由流速变化引起的液滴尺寸波动,通常需要稳定的输入控制源。然而,这种复杂的外围设备的引入限制了基于微液滴的即时检测和类似应用的发展。

近期,浙江大学许忠斌教授、浙大城市学院黄兴副教授等提出了一种被动恒流调节器,旨在减少微流控系统中因流速变化引起的微滴尺寸波动。相关研究以“Fluctuation-resistant microfluidic droplet generator based on multichannel constant flow regulator”为题目,发表在期刊《Chemical Engineering Science》上。
本文要点:
1、本文提出了一种被动式恒流调节器,该装置利用动态调节机制有效减轻了流速波动,从而提高了液滴的均匀性。
2、通过优化流量调节器的结构参数,发现采用耦合调节器设计对于减少流量波动引起的液滴尺寸变化最为有效。
3、实验结果表明,该新型装置在单一压力源或手动操作等简单驱动条件下,仍能够生成变异系数(CV)小于10%的均匀液滴。
被动式恒流调节器在微流控系统中的工作机制包括以下几个方面:
调节器结构中包含一个可变形的PDMS膜阀,当流体压力升高时,膜阀会发生变形,增大通道阻力,从而抑制流量的快速增加。这种压力依赖的动态调节机制,能有效减小流量波动,提高微滴的尺寸均一性。
调节器设计采用耦合结构,将油相通道的压力引入到水相通道的膜阀中,使水相通道的阻力能够随油相压力的变化而动态调节。这种耦合设计能更好地维持水油相流量比,避免滴流状态的不稳定,从而产生更加均一的微滴。
通过优化调节器的结构参数,如膜厚、通道长度和阀门长度,可以进一步提高调节器的性能。当膜阀完全闭合时,调节器能更好地抑制流量波动,从而大幅提高微滴的均一性。
该调节器结构无需复杂的外部控制系统,即使在单一不稳定的压力源或手动推动等简单驱动方式下,也能生成高度均一的微滴(CV<10%)。这大大简化了微流体芯片的制造和操作,为现场检测等应用提供了一种简单有效的微液滴制备方法。
该装置的关键技术创新点和应用前景如下:
关键技术创新点:
1、被动式恒流调节器的设计与优化
该装置采用被动式恒流调节器,通过微通道结构和材料特性调节流量,无需复杂的外部控制设备。相比传统的主动式调节器(如气动、电场或磁场控制),被动式调节器简化了系统设计,降低了设备成本和复杂性。
通过优化调节器的结构参数(如膜厚、通道长度和阀门长度),实现了更高效的流量调节性能,能够有效减小驱动源波动对流量的影响。
2、耦合调节器设计
创新性地将油相通道的压力引入水相通道的膜阀中,使水相通道的阻力能够随油相压力的变化动态调节。这种耦合设计能够更好地维持水油相的流量比,避免滴流状态的不稳定,从而提高微滴的尺寸均一性。
3、无需稳定驱动源的高均一性微滴生成
该装置在单一压力源或手动操作等简单驱动方式下,仍能生成高度均一的微滴(变异系数CV<10%)。这一特性克服了传统微滴生成技术对高精度注射泵或压力控制器的依赖,显著降低了设备成本和操作难度。
4、适用于多种流量波动条件
通过动态调节机制(如PDMS膜阀的变形增大阻力),该装置能够有效应对流量波动,确保微滴生成的稳定性和可靠性。
应用前景:
1、便携式即时检测(POCT)
由于无需复杂的外围设备,该装置适合集成到便携式微流控芯片中,用于现场检测(如医疗诊断、环境监测等),特别是在资源有限或偏远地区。
2、药物筛选与开发
高均一性微滴生成技术可用于药物筛选和开发中的高通量实验,提供稳定的反应环境,提高实验结果的可靠性。
3、单细胞分析与生物研究
微滴技术广泛应用于单细胞分析、细胞排序和生物分子检测。该装置的高均一性微滴生成能力能够确保实验条件的一致性,提升分析精度。
4、纳米材料合成与化学反应
微滴技术因其高界面面积和封闭反应环境,适合用于纳米材料的合成和化学反应。该装置的恒流调节功能能够确保反应条件的稳定性,从而提高产品质量。
5、环境污染物提取与分析
在环境监测中,该装置可用于污染物的高效提取和分析,特别是在需要便携式设备的场景中。
6、低成本微流控系统的推广
由于该装置无需昂贵的主动控制设备,其低成本、高可靠性的特点有助于微流控技术在教育、科研和工业中的广泛应用。

图1.通过抑制流动波动产生均匀微滴的概念。(a)恒定流阻和压力相关流量调节器作用下生成的液滴示意图。(b)展示了电路中具有非线性电流-电压特性的电子元件。

图2.(a)恒流调节器示意图。(b)膜阀在不同输入压力下的变形。比例尺:100μm。

图3.(a)流量随膜变形的变化。(b)比较了有无调节器时流量随压力变化的情况。有调节器时,流量增加受到抑制,变化幅度较小。(c)在500 mbar和2000 mbar为中心的不同压力变化幅度下的流量波动范围。

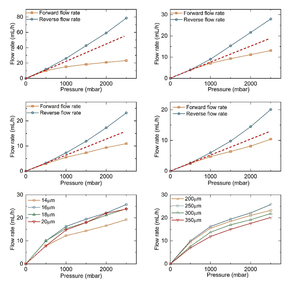
图4.不同通道长度(a)4.5mm、(b)13.5mm、(c)22.5mm和(d)31.5mm下流量随压力的变化。红色虚线显示了没有流量调节器的流量。(e)不同膜厚度下的正向流速。(f)不同阀门长度下的正向流速。

图5.PDMS膜的响应速度和调节器性能。(a)膜位移随压力波动的变化。(b)不同波动周期下膜的最大位移。压力波动以1000 mbar为中心,振幅为800 mbar。(c)以1000 mbar为中心的不同振幅正弦波动下的临界响应期。

图6.不同微通道设计和结构下液滴尺寸随油水压力比的变化。(a)无流量调节器,(b)在油相通道中使用调节器,(c)在水相通道中使用调节器,(d)调节器同时应用于水相和油相通道中,(e)将油相通道的压力引入水相通道(称为“耦合调节器”),(f)不同结构下液滴随压力变化的尺寸范围。

图7.不同压力源和波动下的液滴尺寸分布。(a)水相压力:800 mbar,油相压力:1000-2000 mbar。(b)水相压力:500-1200 mbar,油相压力:2000 mbar。(c)水和油共享一个压力源,压力在1000-2000 mbar之间波动。比例尺:120μm。

图8.(a)采用恒流调节器设计的手动操作均匀微滴制备装置。(b)手动操作装置产生的微滴尺寸分布。比例尺:200μm。(c)具有恒流调节器的并行化结构示意图。在(d)油相波动和(e)水相波动下,由并行化结构装置产生的液滴的尺寸分布。比例尺:200μm。
论文链接:
https://doi.org/10.1016/j.ces.2024.121103






