生物医学领域的未来部署需要新一代可生物降解、生物相容和无毒的水凝胶。海藻酸盐和壳聚糖是天然聚合物,在水凝胶应用中引起了广泛关注。然而,将壳聚糖整合到基于藻酸盐的水凝胶中以形成均匀分布和定制表面电荷的微球仍然具有挑战性。

导读:
近期,大连大学附属中山医院于炜婷研究员与大连大学环境与化学工程学院刘袖洞教授合作,设计并制备了一种均匀复合的海藻酸盐-壳聚糖水凝胶微球,这些微球能够有效增强截留肝细胞的活力和肝脏特异性功能,为生物医学领域提供了一种新的肝细胞培养平台。相关研究以“Homogeneously complexed alginate-chitosan hydrogel microspheres for the viability enhancement of entrapped hepatocytes”为题目,发表在期刊《International Journal of Biological Macromolecules》上。
本文要点:
1、本研究成功设计并制备了一种均匀复合的海藻酸盐-壳聚糖水凝胶微球,用于提高包埋肝细胞的活性和肝脏特异性功能。
2、通过优化海藻酸盐和壳聚糖溶液的pH值和比例,实现了对微球的物理化学性质(包括球形度、亲水性、电荷性质和表面粗糙度)的精确控制。
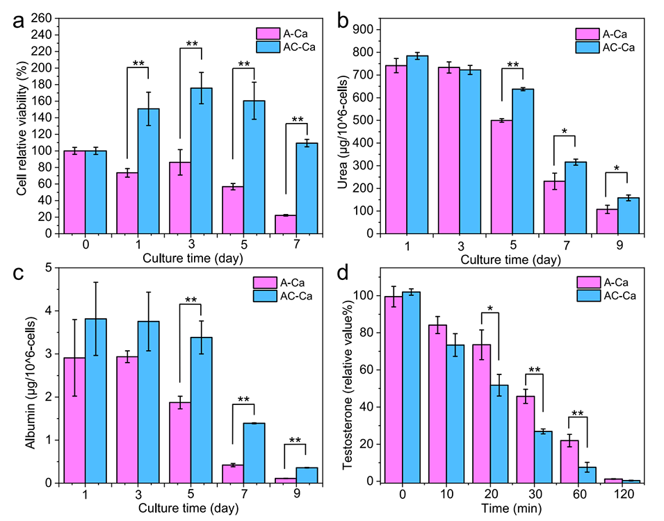
3、与传统的海藻酸盐基水凝胶微球相比,包埋在均匀海藻酸盐-壳聚糖微球中的肝细胞显示出增强的活性和肝脏特异性功能,包括白蛋白分泌、尿素合成和细胞色素P-450酶活性。
4、这项工作为制造基于生物相容性海藻酸盐和壳聚糖的功能性微球提供了潜在途径,这些微球具有可调节的机械性能和功能,特别适用于肝细胞应用。
为什么在制备藻酸盐-壳聚糖微球时,需要调节pH值?
在制备藻酸盐-壳聚糖微球时,需要调节pH值是因为壳聚糖的氨基基团会受pH值的影响而发生质子化。
在酸性条件下,壳聚糖的氨基基团被质子化,可以与藻酸盐的羧基发生电荷中和反应,导致溶液凝聚。而在弱碱性条件下(pH 7.4),壳聚糖的氨基基团未被质子化,与藻酸盐的相互作用较弱,有利于形成稳定的混合溶液。
此外,在微球形成过程中,将CaCl2凝胶浴的pH调节至6.0-6.5,可以促进壳聚糖的质子化,从而与藻酸盐及钙离子发生电荷相互作用,最终形成均匀的藻酸盐-壳聚糖微球。
壳聚糖在藻酸盐-壳聚糖微球中的分布和保留情况如何?
通过共聚焦显微镜观察发现,壳聚糖在藻酸盐-壳聚糖微球中呈现均匀分布。但是在24小时内,壳聚糖的荧光强度有所降低,表明部分壳聚糖从微球内部向外部环境发生泄漏。这种泄漏主要发生在前12小时,之后达到平衡。
壳聚糖以两种形式存在于微球中:一部分通过电荷相互作用与藻酸盐结合,另一部分则是物理缠结于藻酸盐网络中。前者稳定地保留在微球内部,后者则会逐渐泄漏出来。这两种形式的壳聚糖共同作用,增强了微球对肝细胞的支持作用。
藻酸盐-壳聚糖水凝胶微球作为肝细胞培养载体的主要优势如下:
1、均匀分布的壳聚糖:通过优化制备条件,壳聚糖能够均匀分布在藻酸盐微球内部,而不仅仅局限于表面。这种均匀分布有利于更好地中和微球内部的负电荷,为细胞提供更多的黏附位点。
2、改善微球的物理化学性质:引入壳聚糖后,微球表面粗糙度增加、亲水性降低、表面电荷由负转正。这些性质变化有利于促进肝细胞的黏附和生长。
3、提高肝细胞的活性和功能:与纯藻酸盐微球相比,藻酸盐-壳聚糖微球显著提高了肝细胞的存活率、白蛋白分泌、尿素合成和细胞色素P-450酶活性等肝细胞功能指标。
4、增强微球的机械稳定性:藻酸盐-壳聚糖微球的膨胀度明显低于纯藻酸盐微球,表现出更高的机械稳定性,有利于在移植过程中维持微球的完整性。
综上所述,通过引入壳聚糖,藻酸盐-壳聚糖水凝胶微球在表面性质、细胞黏附、细胞活性和功能以及机械稳定性等方面都得到了显著改善,使其成为一种理想的肝细胞培养载体。这为生物人工肝等应用提供了新的设计思路。

图1.不同壳聚糖浓度制备的AC-Ca水凝胶微球的光学图像:(a)0;(b)0.75wt%;(c)1.0wt%;(d)1.5wt%;(e)2.0wt%。

图2.AC-Ca水凝胶微球内荧光强度(a)和壳聚糖浓度(c)的测量,壳聚糖的全波长紫外扫描光谱图及其在273nm处的线性回归(b)。

图3.不同壳聚糖浓度制备的AC-Ca水凝胶膜的SEM图像:(a)0;(b)0.75wt%;(c)1.0wt%;(d)1.5wt%;(e)2.0wt%。

图4.不同壳聚糖浓度制备的水凝胶的ζ电位(a)和接触角(b)(*p<0.05,**p<0.01)。

图5.A-Ca和AC-Ca水凝胶微球的溶胀度(a)和相差显微照片(b)。

图6.包埋在A-Ca(a:0天,b:7天)和AC-Ca水凝胶微球(a':0天,b':7天)中的肝细胞的相差显微照片,比例尺=100μm。

图7.不同培养时间下A-Ca、AC-Ca水凝胶微球中肝细胞的活力和代谢评估。(a)存活率;(b)尿素合成,(c)白蛋白分泌和(d)细胞色素P450活性(CYP2C11)(*P<0.05,**P<0.01)。

图8.用不同浓度的壳聚糖培养的C3A细胞的相对存活率(a);壳聚糖对肝细胞存活率的影响;肝细胞粘附在空白、A-Ca、AC-Ca制备的水凝胶膜上(**P<0.01,*P<0.05,n.s:无显著性)。
论文链接:
https://doi.org/10.1016/j.ijbiomac.2024.134407






